Suppr超能文献

晚期阿尔茨海默病和路易体痴呆脑的转位蛋白。

Translocator protein in late stage Alzheimer's disease and Dementia with Lewy bodies brains.

机构信息

Department of Radiology, Washington University School of Medicine, 510 S. Kingshighway Blvd, St. Louis, Missouri, 63110.

Department of Pathology & Immunology, Washington University School of Medicine, 510 S. Kingshighway Blvd, St. Louis, Missouri, 63110.

出版信息

Ann Clin Transl Neurol. 2019 Aug;6(8):1423-1434. doi: 10.1002/acn3.50837. Epub 2019 Jul 9.

Abstract

OBJECTIVE

Increased translocator protein (TSPO), previously known as the peripheral benzodiazepine receptor (PBR), in glial cells of the brain has been used as a neuroinflammation marker in the early and middle stages of neurodegenerative diseases, such as Alzheimer's disease (AD) and Dementia with Lewy Bodies (DLB). In this study, we investigated the changes in TSPO density with respect to late stage AD and DLB.

METHODS

TSPO density was measured in multiple regions of postmortem human brains in 20 different cases: seven late stage AD cases (Braak amyloid average: C; Braak tangle average: VI; Aged 74-88, mean: 83 ± 5 years), five DLB cases (Braak amyloid average: C; Braak tangle average: V; Aged 79-91, mean: 84 ± 4 years), and eight age-matched normal control cases (3 males, 5 females: aged 77-92 years; mean: 87 ± 6 years). Measurements were taken by quantitative autoradiography using [ H]PK11195 and [ H]PBR28.

RESULTS

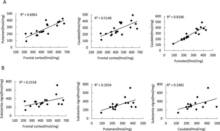
No significant changes were found in TSPO density of the frontal cortex, striatum, thalamus, or red nucleus of the AD and DLB brains. A significant reduction in TSPO density was found in the substantia nigra (SN) of the AD and DLB brains compared to that of age-matched healthy controls.

INTERPRETATION

This distinct pattern of TSPO density change in late stage AD and DLB cases may imply the occurrence of microglia dystrophy in late stage neurodegeneration. Furthermore, TSPO may not only be a microglia activation marker in early stage AD and DLB, but TSPO may also be used to monitor microglia dysfunction in the late stage of these diseases.

摘要

目的

脑胶质细胞中转录装配蛋白(TSPO)的增加,以前称为外周苯二氮䓬受体(PBR),已被用作神经退行性疾病(如阿尔茨海默病(AD)和路易体痴呆(DLB))的早期和中期神经炎症标志物。在这项研究中,我们研究了 TSPO 密度与晚期 AD 和 DLB 的变化。

方法

在 20 个不同病例的死后人脑多个区域测量 TSPO 密度:7 例晚期 AD 病例(Braak 淀粉样平均:C;Braak 缠结平均:VI;年龄 74-88 岁,平均年龄 83±5 岁),5 例 DLB 病例(Braak 淀粉样平均:C;Braak 缠结平均:V;年龄 79-91 岁,平均年龄 84±4 岁),和 8 例年龄匹配的正常对照组(3 名男性,5 名女性:年龄 77-92 岁;平均年龄 87±6 岁)。通过使用 [ H]PK11195 和 [ H]PBR28 进行定量放射自显影测量。

结果

AD 和 DLB 大脑的额皮质、纹状体、丘脑或红核的 TSPO 密度没有明显变化。与年龄匹配的健康对照组相比,AD 和 DLB 大脑的黑质(SN)TSPO 密度明显降低。

结论

晚期 AD 和 DLB 病例中 TSPO 密度变化的这种明显模式可能表明晚期神经退行性变中小胶质细胞营养不良的发生。此外,TSPO 不仅可能是 AD 和 DLB 早期的小胶质细胞激活标志物,而且 TSPO 还可用于监测这些疾病晚期小胶质细胞功能障碍。

https://cdn.ncbi.nlm.nih.gov/pmc/blobs/e215/6689696/d4167544bb35/ACN3-6-1423-g001.jpg

文献AI研究员

20分钟写一篇综述,助力文献阅读效率提升50倍。

立即体验

用中文搜PubMed

大模型驱动的PubMed中文搜索引擎

马上搜索

文档翻译

学术文献翻译模型,支持多种主流文档格式。

立即体验