Instituto Nacional de Ortopedia e Traumatologia (INTO), Rio de Janeiro, RJ, BR.
Instituto de Ortopedia e Traumatologia (IOT), Hospital das Clinicas HCFMUSP, Faculdade de Medicina, Universidade de Sao Paulo, Sao Paulo, SP, BR.
Clinics (Sao Paulo). 2019;74:e674. doi: 10.6061/clinics/2019/e674. Epub 2019 Aug 19.
To evaluate the effects of interleukin-6 (IL-6) and erythropoietin (EPO) in experimental acute spinal cord injury (SCI) in rats.
Using standardized equipment, namely, a New York University (NYU) Impactor, a SCI was produced in 50 Wistar rats using a 10-g weight drop from a 12.5-mm height. The rats were divided into the following 5 groups of 10 animals each: "Group EPO", treated with erythropoietin only; "Group EPO + IL-6", treated with both substances; "Group IL-6", receiving IL-6 administration only; "Group Placebo", receiving a placebo solution; and "Group Sham", submitted to an incomplete procedure (only laminectomy, without SCI). All drugs and the placebo solution were administered intraperitoneally for three weeks. The animals were followed up for 42 days. Functional motor recovery was monitored by the Basso, Beattie, and Bresnahan (BBB) scale on days 2, 7, 14, 21, 28, 35 and 42. Motor-evoked potential tests were performed on the 42nd day. Histological analysis was performed after euthanasia.
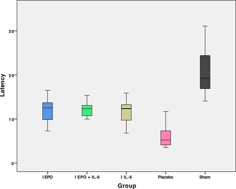
The group receiving EPO exhibited superior functional motor results on the BBB scale. IL-6 administration alone was not superior to the placebo treatment, and the IL-6 combination with EPO yielded worse results than did EPO alone.
Using EPO after acute SCI in rats yielded benefits in functional recovery. The combination of EPO and IL-6 showed benefits, but with inferior results compared to those of isolated EPO; moreover, isolated use of IL-6 resulted in no benefit.
评估白细胞介素-6(IL-6)和促红细胞生成素(EPO)在大鼠实验性急性脊髓损伤(SCI)中的作用。
使用标准化设备,即纽约大学(NYU)冲击器,通过从 12.5 毫米高度下降 10 克重量,在 50 只 Wistar 大鼠中产生 SCI。将大鼠分为以下 5 组,每组 10 只动物:“EPO 组”,仅接受促红细胞生成素治疗;“EPO+IL-6 组”,同时接受两种物质治疗;“IL-6 组”,仅接受 IL-6 给药;“安慰剂组”,接受安慰剂溶液治疗;“假手术组”,进行不完全程序(仅椎板切除术,无 SCI)。所有药物和安慰剂溶液均通过腹腔内给药,持续 3 周。对动物进行为期 42 天的随访。通过 Basso、Beattie 和 Bresnahan(BBB)量表在第 2、7、14、21、28、35 和 42 天监测功能运动恢复情况。在第 42 天进行运动诱发电位测试。安乐死后进行组织学分析。
接受 EPO 治疗的组在 BBB 量表上表现出更好的功能运动结果。单独给予 IL-6 并不优于安慰剂治疗,EPO 与 IL-6 的联合治疗结果不如单独给予 EPO。
在大鼠急性 SCI 后使用 EPO 可促进功能恢复。EPO 与 IL-6 的联合应用具有益处,但效果不如单独使用 EPO 好;此外,单独使用 IL-6 没有益处。