Suppr超能文献

两性离子聚磺酸甜菜碱阻止蛋白质聚集的对比研究:使用不同的raft试剂

Comparative Study of Protein Aggregation Arrest by Zwitterionic Polysulfobetaines: Using Contrasting Raft Agents.

作者信息

Sharma Neha, Rajan Robin, Makhaik Sparsh, Matsumura Kazuaki

机构信息

School of Materials Science, Japan Advanced Institute of Science and Technology, Asahidai, Nomi, Ishikawa 923-1292, Japan.

出版信息

ACS Omega. 2019 Jul 15;4(7):12186-12193. doi: 10.1021/acsomega.9b01409. eCollection 2019 Jul 31.

Abstract

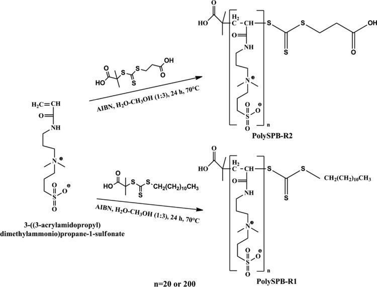
Protein aggregation has caused limitations in the study and development of protein-based biopharmaceuticals. We prepared different polysulfobetaine (poly-SPB) polymers via reversible addition fragmentation chain transfer (RAFT) polymerization. These polymers exhibited high efficiency in modulation of protein aggregation. We synthesized polysulfobetaines using two different RAFT agents, and analyzed the aggregation profile of lysozyme and insulin. In poly-SPBs, existence of a hydrophobic RAFT agent resulted in visible enhancement of the residual enzymatic activity of lysozyme, whereas it remained unaffected by the hydrophilic RAFT agent. In addition, these polymers resulted in significant suppression in the aggregation of insulin. Increase in the molecular weight of the polymer caused higher efficiency to perpetuate enzymatic activity of lysozyme upon thermal denaturation. The polymers arrested the formation of amyloid like fibrils of lysozyme and insulin, thus indicating their potential to inhibit aggregation. The results unambiguously demonstrate the importance of polysulfobetaine moiety and hydrophobicity in protein aggregation inhibition. This study gives insight into the protein aggregation inhibition by zwitterionic polymers, which have a potential to be developed as aggregation inhibitors in the future.

摘要

蛋白质聚集给基于蛋白质的生物制药的研究与开发带来了限制。我们通过可逆加成-断裂链转移(RAFT)聚合反应制备了不同的聚磺基甜菜碱(poly-SPB)聚合物。这些聚合物在调节蛋白质聚集方面表现出高效性。我们使用两种不同的RAFT试剂合成了聚磺基甜菜碱,并分析了溶菌酶和胰岛素的聚集情况。在聚-SPB中,疏水性RAFT试剂的存在导致溶菌酶的残余酶活性明显增强,而亲水性RAFT试剂对其没有影响。此外,这些聚合物显著抑制了胰岛素的聚集。聚合物分子量的增加导致热变性时维持溶菌酶酶活性的效率更高。这些聚合物阻止了溶菌酶和胰岛素形成类淀粉样纤维,从而表明它们具有抑制聚集的潜力。结果明确证明了聚磺基甜菜碱部分和疏水性在抑制蛋白质聚集中的重要性。这项研究深入了解了两性离子聚合物对蛋白质聚集的抑制作用,两性离子聚合物未来有潜力被开发为聚集抑制剂。

https://cdn.ncbi.nlm.nih.gov/pmc/blobs/76e9/6681992/57bc486654b8/ao-2019-014094_0007.jpg

文献AI研究员

20分钟写一篇综述,助力文献阅读效率提升50倍。

立即体验

用中文搜PubMed

大模型驱动的PubMed中文搜索引擎

马上搜索

文档翻译

学术文献翻译模型,支持多种主流文档格式。

立即体验