Suppr超能文献

Interaction behavior of polyion-counterion for sodium polystyrene sulfonate.

作者信息

Bhattarai Ajaya

机构信息

Department of Chemistry, M.M.A.M. C., Tribhuvan University, Biratnagar, Nepal.

出版信息

Data Brief. 2019 Aug 7;25:104365. doi: 10.1016/j.dib.2019.104365. eCollection 2019 Aug.

Abstract

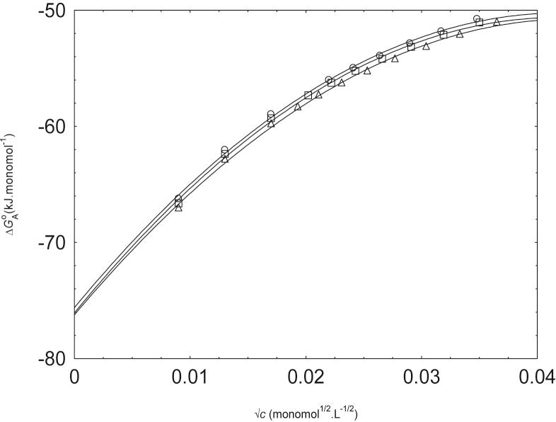
The specific conductances are measured for sodium polystyrene sulfonate in water and methanol-water mixture. The equivalent conductivity data against concentration are evaluated by scaling concept. The effects of the solvent composition and the polyelectrolyte concentration on the fractions of uncondensed counterions , the polyion conductivities , the standard state free energies of counterion association , and the polyion transference number are calculated. The charge density of sodium polystyrene sulfonate was used for the research article [1] to see the variation of the critical aggregation concentration of cetyltrimethyl ammonium bromide in sodium polystyrene sulfonate against the charge density of sodium polystyrene sulfonate.

摘要
https://cdn.ncbi.nlm.nih.gov/pmc/blobs/6186/6710635/8bd420f1c639/gr1.jpg

相似文献

1
Interaction behavior of polyion-counterion for sodium polystyrene sulfonate.
Data Brief. 2019 Aug 7;25:104365. doi: 10.1016/j.dib.2019.104365. eCollection 2019 Aug.
4
Counterion release from adsorbed highly charged polyelectrolyte: an electrooptical study.
J Colloid Interface Sci. 2006 Jun 15;298(2):550-5. doi: 10.1016/j.jcis.2006.01.020. Epub 2006 Feb 14.
5
Viscosity of Sodium Polystyrenesulfonate with Cetyltrimethylammonium Bromide in the Mixture of Methanol and Water.
J Phys Chem B. 2023 Aug 10;127(31):7048-7053. doi: 10.1021/acs.jpcb.3c02565. Epub 2023 Jul 28.
8
Dynamic exchange of counterions of polystyrene sulfonate.
J Chem Phys. 2012 Feb 28;136(8):084904. doi: 10.1063/1.3688082.
9
Counterion condensation of differently flexible polyelectrolytes in aqueous solutions in the dilute and semidilute regime.
Phys Rev E Stat Nonlin Soft Matter Phys. 2009 Jan;79(1 Pt 1):011804. doi: 10.1103/PhysRevE.79.011804. Epub 2009 Jan 16.

本文引用的文献

2
Polarization of counterions in polyelectrolytes.
Biopolymers. 1996 Mar;38(3):377-88. doi: 10.1002/(sici)1097-0282(199603)38:3<377::aid-bip10>3.0.co;2-a.

文献AI研究员

20分钟写一篇综述,助力文献阅读效率提升50倍。

立即体验

用中文搜PubMed

大模型驱动的PubMed中文搜索引擎

马上搜索

文档翻译

学术文献翻译模型,支持多种主流文档格式。

立即体验