Suppr超能文献

无对抗措施的模拟微重力暴露期间时间对人体肌肉结果的影响——系统评价

Effect of Time on Human Muscle Outcomes During Simulated Microgravity Exposure Without Countermeasures-Systematic Review.

作者信息

Winnard Andrew, Scott Jonathan, Waters Nathan, Vance Martin, Caplan Nick

机构信息

Faculty of Health and Life Sciences, Northumbria University, Newcastle upon Tyne, United Kingdom.

Space Medicine Office, European Astronaut Centre, Cologne, Germany.

出版信息

Front Physiol. 2019 Aug 16;10:1046. doi: 10.3389/fphys.2019.01046. eCollection 2019.

Abstract

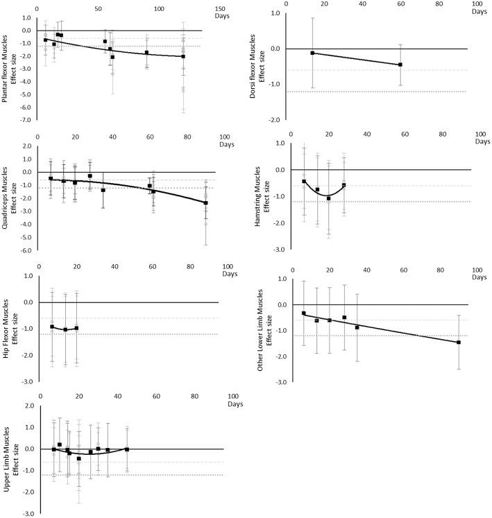
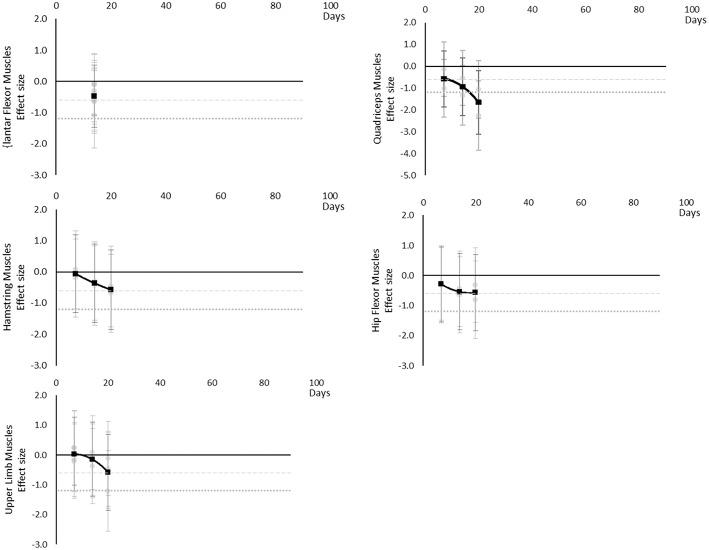
Space Agencies are planning human missions beyond Low Earth Orbit. Consideration of how physiological system adaptation with microgravity (μG) will be managed during these mission scenarios is required. Exercise countermeasures (CM) could be used more sparingly to decrease limited resource costs, including periods of no exercise. This study provides a complete overview of the current evidence, making recommendations on the length of time humans exposed to simulated μG might safely perform no exercise considering muscles only. Electronic databases were searched for astronaut or space simulation bed rest studies, as the most valid terrestrial simulation, from start of records to July 2017. Studies were assessed with the Quality in Prognostic Studies and bed rest analog studies assessed for transferability to astronauts using the Aerospace Medicine Systematic Review Group Tool for Assessing Bed Rest Methods. Effect sizes, based on no CM groups, were used to assess muscle outcomes over time. Outcomes included were contractile work capacity, muscle cross sectional area, muscle activity, muscle thickness, muscle volume, maximal voluntary contraction force during one repetition maximum, peak power, performance based outcomes, power, and torque/strength. Seventy-five bed rest μG simulation studies were included, many with high risk of confounding factors and participation bias. Most muscle outcomes deteriorated over time with no countermeasures. Moderate effects were apparent by 7-15 days and large by 28-56 days. Moderate effects (>0.6) became apparent in the following order, power and MVC during one repetition maximum (7 days), followed by volume, cross sectional area, torques and strengths, contractile work capacity, thickness and endurance (14 days), then muscle activity (15 days). Large effects (>1.2) became apparent in the following order, volume, cross sectional area (28 days) torques and strengths, thickness (35 days) and peak power (56 days). Moderate effects on a range of muscle parameters may occur within 7-14 days of unloading, with large effects within 35 days. Combined with muscle performance requirements for mission tasks, these data, may support the design of CM programmes to maximize efficiency without compromising crew safety and mission success when incorporated with data from additional physiological systems that also need consideration.

摘要

各航天机构正在规划低地球轨道以外的载人任务。需要考虑在这些任务场景中如何应对生理系统对微重力(μG)的适应情况。可以更谨慎地使用运动对策(CM),以降低包括无运动期在内的有限资源成本。本研究全面概述了当前证据,就仅考虑肌肉因素时人类暴露于模拟微重力环境下可安全无运动的时长提出了建议。检索了电子数据库,查找自记录起始至2017年7月期间有关宇航员或太空模拟卧床休息的研究,因为这是最有效的地面模拟研究。使用预后研究质量评估法对研究进行评估,并用航天医学系统评价组评估卧床休息方法的工具对卧床休息模拟研究进行可转移性评估,以确定其对宇航员的适用性。基于无CM组的效应量用于评估随时间变化的肌肉结果。纳入的结果包括收缩工作能力、肌肉横截面积、肌肉活动、肌肉厚度、肌肉体积、一次重复最大值时的最大自主收缩力、峰值功率、基于表现的结果、功率以及扭矩/力量。共纳入了75项卧床休息微重力模拟研究,其中许多研究存在混杂因素和参与偏倚的高风险。在没有对策的情况下,大多数肌肉结果会随时间恶化。7 - 15天出现中度影响,28 - 56天出现显著影响。中度影响(>0.6)按以下顺序显现:功率和一次重复最大值时的最大自主收缩力(7天),随后是体积、横截面积、扭矩和力量、收缩工作能力、厚度和耐力(14天),然后是肌肉活动(15天)。显著影响(>1.2)按以下顺序显现:体积、横截面积(28天)、扭矩和力量、厚度(35天)以及峰值功率(56天)。卸载后7 - 14天可能会对一系列肌肉参数产生中度影响,35天内会产生显著影响。结合任务对肌肉性能的要求,这些数据可能支持CM计划的设计,在与其他同样需要考虑的生理系统的数据相结合时,在不影响机组人员安全和任务成功的前提下,最大化效率。

https://cdn.ncbi.nlm.nih.gov/pmc/blobs/d80d/6707384/34ee15b47487/fphys-10-01046-g0001.jpg

文献AI研究员

20分钟写一篇综述,助力文献阅读效率提升50倍。

立即体验

用中文搜PubMed

大模型驱动的PubMed中文搜索引擎

马上搜索

文档翻译

学术文献翻译模型,支持多种主流文档格式。

立即体验