Suppr超能文献

健康巴西志愿者的左心室、左心房和右心室功能的 3 维超声心动图和 2 维应变分析。

3-Dimensional Echocardiography and 2-D Strain Analysis of Left Ventricular, Left Atrial and Right Ventricular Function in Healthy Brazilian Volunteers.

机构信息

Instituto Nacional de Infectologia Evandro Chagas, Fundação Oswaldo Cruz, Rio de Janeiro, RJ - Brasil.

Departamento de pesquisa e Educação, Instituto Nacional de Cardiologia, Rio de Janeiro, RJ - Brasil.

出版信息

Arq Bras Cardiol. 2019 Nov;113(5):935-945. doi: 10.5935/abc.20190155.

Abstract

BACKGROUND

New echocardiographic techniques are used in the diagnosis and prognosis of many heart diseases. However, reference values in different populations are still needed for several of these new indexes. We studied these new echocardiographic parameters in a group of Brazilians with no known cardiovascular disease.

OBJECTIVE

To study values for new echocardiographic indexes in Brazilians without known cardiovascular disease and their correlation with age.

METHODS

Cross-sectional study that included healthy individuals who underwent three-dimensional echocardiography (3DE) and two-dimensional speckle tracking echocardiography (STE) strain (e) analysis. Left atrial (LA) and left ventricular (LV) function were analyzed by 3DE and STE, and right ventricular (RV) function by STE. P values < 0.05 were considered significant.

RESULTS

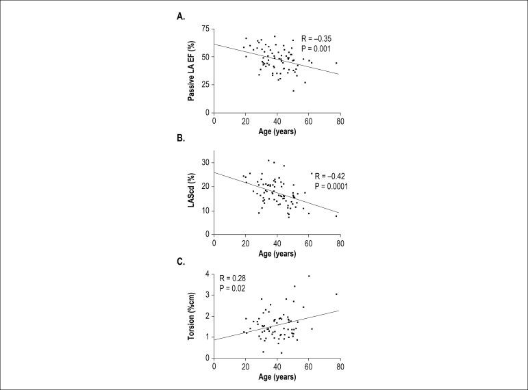
Seventy-seven subjects (46.7% men; 40.4 ± 10.4 years) were included. Maximum, minimum and pre-atrial contraction (pre-A) LA volumes (ml/m2) were 21.2 ± 5.5, 7.8 ± 2.5, and 11.0 ± 3.1, respectively. Peak positive global LA e (LAScd), peak negative global LA e and total global LA e (LASr) were 17.4 ± 5.2%, -13.2 ± 2.0% and 30.5 ± 5.9%, respectively. LV end-diastolic and end-systolic volumes (ml/m2) measured 57 ± 12 and 24 ± 6, and 3D LV ejection fraction measured 58 ± 6%. Global LV longitudinal, circumferential and radial e were -19 ± 2%, -19 ± 3%, and 46 ± 12%, respectively. LV torsion measured 1.6 ± 0.70 /cm. Global longitudinal RV e (RV-GLS) and RV free wall strain were -22 ± 3% and -24 ± 5%. Minimum LA and pre-A volumes, LV apical rotation, torsion and RV-GLS increased with age, while total and passive LA emptying fractions, LAScd, LASr, LV end-diastolic and end-systolic volumes decreased with age.

CONCLUSION

Values for new echocardiographic indexes in Brazilians without known cardiovascular disease and their correlation with age are presented.

摘要

背景

新的超声心动图技术用于许多心脏病的诊断和预后。然而,对于这些新指标中的一些,仍需要不同人群的参考值。我们研究了一组无已知心血管疾病的巴西人这些新的超声心动图参数。

目的

研究无已知心血管疾病的巴西人新型超声心动图指标的值及其与年龄的相关性。

方法

这项横断面研究纳入了接受三维超声心动图(3DE)和二维斑点追踪超声心动图(STE)应变(e)分析的健康个体。通过 3DE 和 STE 分析左心房(LA)和左心室(LV)功能,通过 STE 分析右心室(RV)功能。P 值<0.05 被认为具有统计学意义。

结果

共纳入 77 例受试者(46.7%为男性;年龄 40.4±10.4 岁)。最大、最小和房收缩前(pre-A)LA 容积(ml/m2)分别为 21.2±5.5、7.8±2.5 和 11.0±3.1。峰值正向整体 LAe(LAScd)、峰值负向整体 LAe 和整体 LAe 总积分(LASr)分别为 17.4±5.2%、-13.2±2.0%和 30.5±5.9%。LV 舒张末期和收缩末期容积(ml/m2)分别为 57±12 和 24±6,3D LV 射血分数为 58±6%。整体 LV 纵向、环向和径向 e 分别为-19±2%、-19±3%和 46±12%。LV 扭转测量值为 1.6±0.70 /cm。整体纵向 RVe(RV-GLS)和 RV 游离壁应变分别为-22±3%和-24±5%。最小 LA 和 pre-A 容积、LV 心尖旋转、扭转和 RV-GLS 随年龄增加而增加,而总 LA 和被动排空分数、LAScd、LASr、LV 舒张末期和收缩末期容积随年龄降低而降低。

结论

本研究提供了无已知心血管疾病的巴西人新型超声心动图指标的值及其与年龄的相关性。

https://cdn.ncbi.nlm.nih.gov/pmc/blobs/58d3/7020973/89cf91241c62/abc-113-05-0935-g01.jpg

文献检索

告别复杂PubMed语法,用中文像聊天一样搜索,搜遍4000万医学文献。AI智能推荐,让科研检索更轻松。

立即免费搜索

文件翻译

保留排版,准确专业,支持PDF/Word/PPT等文件格式,支持 12+语言互译。

免费翻译文档

深度研究

AI帮你快速写综述,25分钟生成高质量综述,智能提取关键信息,辅助科研写作。

立即免费体验