Suppr超能文献

复合最大运动单位反应受收缩强度调节,但不受胫骨前肌收缩类型的影响。

Compound maximal motor unit response is modulated by contraction intensity, but not contraction type in tibialis anterior.

作者信息

Tallent Jamie, Goodall Stuart, Kidgell Dawson J, Durbaba Rade, Howatson Glyn

机构信息

School of Sport Health and Applied Science, St Mary's University, Twickenham, United Kingdom.

Faculty of Health and Life Sciences, Northumbria University, Newcastle-upon-Tyne, United Kingdom.

出版信息

Physiol Rep. 2019 Sep;7(17):e14201. doi: 10.14814/phy2.14201.

Abstract

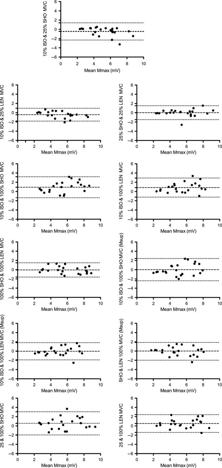
Determining a single compound maximal motor response (M ) or an average superimposed M response (M ) are commonly used reference values in experiments eliciting raw electromyographic, motor evoked potentials, H-reflexes, and V-waves. However, existing literature is limited in detailing the most appropriate method to normalize these electrophysiological measures. Due to the accessibility of assessment from a cortical and spinal perspective, the tibialis anterior is increasingly used in literature and hence investigated in this study. The aims of the present study were to examine the differences and level of agreement in M /M under different muscle actions and contraction intensities. Following a familiarization session, 22 males visited the laboratory on a single occasion. M was recorded under 10% isometric and 25% and 100% shortening and lengthening maximal voluntary contractions (MVC) at an angular velocity of 15° sec . M was also recorded during 100% shortening and lengthening with an average of five responses recorded. There were no differences in M or M between contraction types. All variables showed large, positive correlations (P < 0.001, r  ≥ 0.64). M amplitude was larger (P < 0.001) at 100% shortening and lengthening intensity compared to M amplitude at 10% isometric and 25% lengthening MVC. Bland-Altman plots revealed a bias toward higher M at the higher contraction intensities. Despite M being significantly smaller than M (P < 0.001) at 100% MVC, M showed a large positive correlation (P < 0.001, r  ≥ 0.64) with all variables. It is our recommendation that M should be recorded at specific contraction intensity but not necessarily a specific contraction type.

摘要

确定单个复合最大运动反应(M )或平均叠加M反应(M )是在引出原始肌电图、运动诱发电位、H反射和V波的实验中常用的参考值。然而,现有文献在详细说明归一化这些电生理测量的最合适方法方面有限。由于从皮质和脊髓角度进行评估的可及性,胫骨前肌在文献中越来越多地被使用,因此在本研究中对其进行了调查。本研究的目的是检查在不同肌肉动作和收缩强度下M /M 的差异和一致性水平。在一次熟悉训练后,22名男性单次访问实验室。在15°/秒的角速度下,在10%等长收缩、25%和100%缩短及延长最大自主收缩(MVC)时记录M 。在100%缩短和延长期间也记录M ,平均记录五次反应。收缩类型之间的M 或M 没有差异。所有变量都显示出高度正相关(P < 0.001,r ≥ 0.64)。与10%等长收缩和25%延长MVC时的M 幅度相比,100%缩短和延长强度下的M 幅度更大(P < 0.001)。Bland-Altman图显示在较高收缩强度下M 有偏高的偏差。尽管在100%MVC时M 明显小于M (P < 0.001),但M 与所有变量都显示出高度正相关(P < 0.001,r ≥ 0.64)。我们建议应在特定收缩强度下记录M ,但不一定是特定的收缩类型。

https://cdn.ncbi.nlm.nih.gov/pmc/blobs/be1a/6732500/924a3c400bb8/PHY2-7-e14201-g001.jpg

相似文献

2
Effect of voluntary contraction intensity on the H-reflex and V-wave responses.
Neurosci Lett. 2004 Sep 9;367(3):369-74. doi: 10.1016/j.neulet.2004.06.037.
3
Reduced corticospinal responses in older compared with younger adults during submaximal isometric, shortening, and lengthening contractions.
J Appl Physiol (1985). 2019 Apr 1;126(4):1015-1031. doi: 10.1152/japplphysiol.00987.2018. Epub 2019 Feb 7.
4
Spinal reflex plasticity during maximal dynamic contractions after eccentric training.
Med Sci Sports Exerc. 2008 Apr;40(4):722-34. doi: 10.1249/MSS.0b013e31816184dc.
5
Contribution of M-waves and H-reflexes to contractions evoked by tetanic nerve stimulation in humans.
J Neurophysiol. 2006 Sep;96(3):1293-302. doi: 10.1152/jn.00765.2005. Epub 2006 Apr 12.
7
Torque gains and neural adaptations following low-intensity motor nerve electrical stimulation training.
J Appl Physiol (1985). 2019 Nov 1;127(5):1469-1477. doi: 10.1152/japplphysiol.00513.2019. Epub 2019 Sep 23.
8
Evoked H-reflex and V-wave responses during maximal isometric, concentric, and eccentric muscle contraction.
J Neurophysiol. 2005 Nov;94(5):3555-62. doi: 10.1152/jn.00348.2005. Epub 2005 Jul 27.
10
Corticospinal excitability during shortening and lengthening actions with incremental torque output.
Exp Physiol. 2018 Dec;103(12):1586-1592. doi: 10.1113/EP087347. Epub 2018 Oct 16.

本文引用的文献

1
The extraction of neural strategies from the surface EMG: an update.
J Appl Physiol (1985). 2014 Dec 1;117(11):1215-30. doi: 10.1152/japplphysiol.00162.2014. Epub 2014 Oct 2.
2
Corticospinal responses of resistance-trained and un-trained males during dynamic muscle contractions.
J Electromyogr Kinesiol. 2013 Oct;23(5):1075-81. doi: 10.1016/j.jelekin.2013.04.014. Epub 2013 May 27.
3
Recovery time of motor evoked potentials following lengthening and shortening muscle action in the tibialis anterior.
J Clin Neurosci. 2012 Sep;19(9):1328-9. doi: 10.1016/j.jocn.2012.01.022. Epub 2012 Jun 19.
5
Ipsilateral motor cortical responses to TMS during lengthening and shortening of the contralateral wrist flexors.
Eur J Neurosci. 2011 Mar;33(5):978-90. doi: 10.1111/j.1460-9568.2010.07567.x. Epub 2011 Jan 11.
6
Corticospinal properties following short-term strength training of an intrinsic hand muscle.
Hum Mov Sci. 2010 Oct;29(5):631-41. doi: 10.1016/j.humov.2010.01.004. Epub 2010 Apr 18.
7
Voluntary activation of human knee extensors measured using transcranial magnetic stimulation.
Exp Physiol. 2009 Sep;94(9):995-1004. doi: 10.1113/expphysiol.2009.047902. Epub 2009 Jun 26.
10
Transcranial magnetic stimulation during resistance training of the tibialis anterior muscle.
J Electromyogr Kinesiol. 2007 Aug;17(4):446-52. doi: 10.1016/j.jelekin.2006.05.001. Epub 2006 Aug 7.

文献AI研究员

20分钟写一篇综述,助力文献阅读效率提升50倍。

立即体验

用中文搜PubMed

大模型驱动的PubMed中文搜索引擎

马上搜索

文档翻译

学术文献翻译模型,支持多种主流文档格式。

立即体验