Kashihara Naoki, Kohsaka Shun, Kanda Eiichiro, Okami Suguru, Yajima Toshitaka
Department of Nephrology and Hypertension, Kawasaki Medical School, Okayama, Japan.
Department of Cardiology, Keio University School of Medicine, Tokyo, Japan.
Kidney Int Rep. 2019 May 30;4(9):1248-1260. doi: 10.1016/j.ekir.2019.05.018. eCollection 2019 Sep.
An abnormal serum potassium (S-K) level is an important electrolyte disturbance. However, its relation to clinical outcomes in real-world patients, particularly hyperkalemia burden, is not extensively studied.
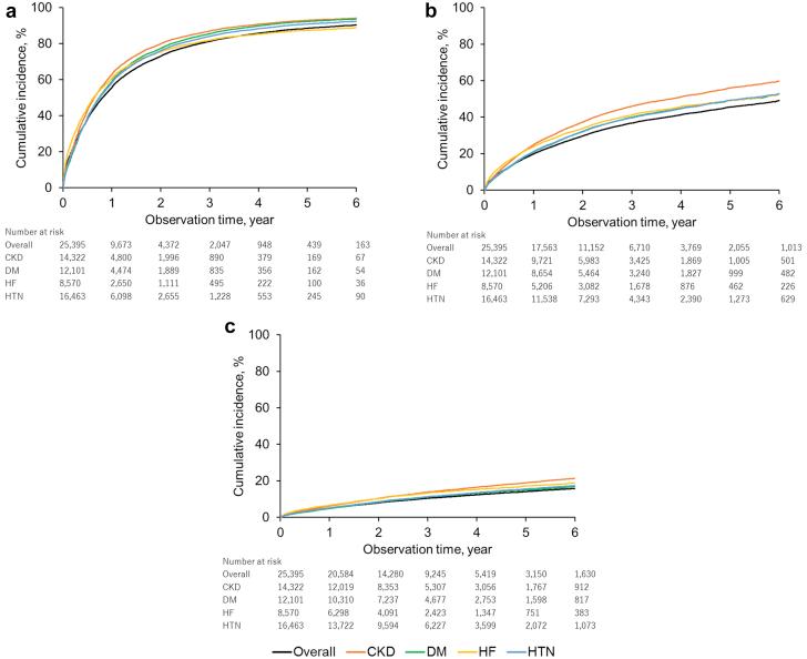
An observational retrospective cohort study using a Japanese hospital claims database was done (April 2008-September 2017; = 1,022,087). Associations between index S-K level and 3-year survival were modeled using cubic spline regression. Cox regression model was applied to estimate the time to death according to different S-K levels. Prevalence, patient characteristics, treatment patterns, and management of patients with hyperkalemia from first episode were assessed.
Hyperkalemia prevalence was 67.9 (95% confidence interval [CI]: 67.1-68.8) per 1000 and increased in patients with chronic kidney disease (CKD) (227.9; 95% CI: 224.3-231.5), heart failure (134.0; 95% CI: 131.2-136.8), and renin-angiotensin-aldosterone system inhibitor (RAASi) use (142.2; 95% CI: 139.6-144.7). U-shaped associations between S-K level and 3-year survival were observed with nadir 4.0 mEq/l. The risk of death was increased at S-K 5.1-5.4 mEq with hazard ratio of 7.6 (95% CI: 7.2-8.0). The 3-year mortality rate in patients with CKD stages 3a, 3b, 4, and 5 with normokalemia were 1.51%, 3.93%, 10.86%, and 12.09%, whereas that in patients with CKD stage 3a at S-K 5.1-5.4, 5.5-5.9, and ≥6.0 mEq/l increased to 10.31%, 11.43%, and 22.64%, respectively. Despite treatment with loop diuretics (18.5%) and potassium binders (5.8%), >30% of patients had persistently high S-K (≥5.1 mEq/l).
This study provides real-world insight on hyperkalemia based on a large number of patients with various medical backgrounds.
血清钾(S-K)水平异常是一种重要的电解质紊乱。然而,其与现实世界中患者临床结局的关系,尤其是高钾血症负担,尚未得到广泛研究。
利用日本医院索赔数据库进行了一项观察性回顾性队列研究(2008年4月至2017年9月;n = 1,022,087)。使用三次样条回归对初始S-K水平与3年生存率之间的关联进行建模。应用Cox回归模型根据不同的S-K水平估计死亡时间。评估了高钾血症患者首次发作时的患病率、患者特征、治疗模式及管理情况。
高钾血症患病率为每1000人中有67.9例(95%置信区间[CI]:67.1 - 68.8),在慢性肾脏病(CKD)患者(227.9例;95% CI:224.3 - 231.5)、心力衰竭患者(134.0例;95% CI:131.2 - 136.8)以及使用肾素 - 血管紧张素 - 醛固酮系统抑制剂(RAASi)的患者(142.2例;95% CI:139.6 - 144.7)中有所增加。观察到S-K水平与3年生存率呈U形关联,最低点为4.0 mEq/l。S-K为5.1 - 5.4 mEq时死亡风险增加,风险比为7.6(95% CI:7.2 - 8.0)。CKD 3a、3b、4和5期血钾正常患者的3年死亡率分别为1.51%、3.93%、10.86%和12.09%,而CKD 3a期患者S-K为5.1 - 5.4、5.5 - 5.9和≥6.0 mEq/l时,3年死亡率分别增至10.31%、11.43%和22.64%。尽管使用了袢利尿剂(18.5%)和钾结合剂(5.8%),仍有超过30%的患者血钾持续偏高(≥5.1 mEq/l)。
本研究基于大量具有不同医学背景的患者,提供了关于高钾血症的真实世界见解。