Suppr超能文献

磷脂酰丝氨酸和三酰甘油在甘薯叶片对盐胁迫响应中的作用

Involvement of Phosphatidylserine and Triacylglycerol in the Response of Sweet Potato Leaves to Salt Stress.

作者信息

Yu Yicheng, Kou Meng, Gao Zhonghui, Liu Yang, Xuan Ying, Liu Yaju, Tang Zhonghou, Cao Qinghe, Li Zongyun, Sun Jian

机构信息

Jiangsu Key Laboratory of Phylogenomics and Comparative Genomics, School of Life Sciences, Jiangsu Normal University, Xuzhou, China.

Key Laboratory for Biology and Genetic Breeding of Sweet Potato, Sweet Potato Research Institute (CAAS), Xuzhou, China.

出版信息

Front Plant Sci. 2019 Sep 10;10:1086. doi: 10.3389/fpls.2019.01086. eCollection 2019.

Abstract

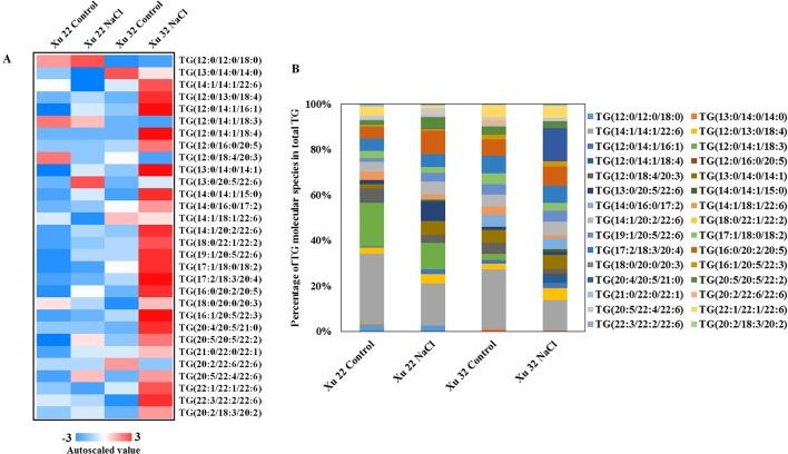
Lipid remodeling plays an important role in the adaptation of plants to environmental factors, but the mechanism by which lipid remodeling mediates salt stress response remains unclear. In this study, we compared the root and leaf lipidome profiles of salt-tolerant and salt-sensitive sweet potato cultivars (Xu 22 and Xu 32, respectively) under salinity stress. After salt treatment, the leaf lipidome showed more significant remodeling than the root lipidome in both cultivars. Compared with Xu 32 leaves, Xu 22 leaves generally maintained higher abundance of phospholipids, glycolipids, sphingolipids, sterol derivatives, and diacylglycerol under salinity conditions. Interestingly, salinity stress significantly increased phosphatidylserine (PS) abundance in Xu 22 leaves by predominantly triggering the increase of PS (20:5/22:6). Furthermore, Xu 32 leaves accumulated higher triacylglycerol (TG) level than Xu 22 leaves under salinity conditions. The exogenous application of PS delayed salt-induced leaf senescence in Xu 32 by reducing salt-induced K efflux and upregulating plasma membrane H-ATPase activity. However, the inhibition of TG mobilization in salinized-Xu 22 leaves disturbed energy and K/Na homeostasis, as well as plasma membrane H-ATPase activity. These results demonstrate alterations in the leaf lipidome of sweet potato under salinity condition, underscoring the importance of PS and TG in mediating salt-defensive responses in sweet potato leaves.

摘要

脂质重塑在植物适应环境因素中起着重要作用,但脂质重塑介导盐胁迫响应的机制仍不清楚。在本研究中,我们比较了耐盐和盐敏感型甘薯品种(分别为徐22和徐32)在盐胁迫下根和叶的脂质组图谱。盐处理后,两个品种的叶脂质组均比根脂质组表现出更显著的重塑。与徐32叶片相比,徐22叶片在盐胁迫条件下通常保持较高水平的磷脂、糖脂、鞘脂、甾醇衍生物和二酰基甘油。有趣的是,盐胁迫通过主要触发PS(20:5/22:6)的增加,显著提高了徐22叶片中磷脂酰丝氨酸(PS)的丰度。此外,在盐胁迫条件下,徐32叶片积累的三酰甘油(TG)水平高于徐22叶片。外源施用PS通过减少盐诱导的钾外流和上调质膜H-ATPase活性,延缓了徐32叶片盐诱导的衰老。然而,抑制盐处理的徐22叶片中的TG动员扰乱了能量和K/Na稳态以及质膜H-ATPase活性。这些结果表明盐胁迫条件下甘薯叶脂质组发生了变化,强调了PS和TG在介导甘薯叶片盐防御反应中的重要性。

https://cdn.ncbi.nlm.nih.gov/pmc/blobs/6588/6746921/04e7d8488527/fpls-10-01086-g001.jpg

文献AI研究员

20分钟写一篇综述,助力文献阅读效率提升50倍。

立即体验

用中文搜PubMed

大模型驱动的PubMed中文搜索引擎

马上搜索

文档翻译

学术文献翻译模型,支持多种主流文档格式。

立即体验