Suppr超能文献

DCD Ⅲ类供体的临床前模型研究:为增加利用这种极具挑战性供体类型铺平道路。

Preclinical Modeling of DCD Class III Donation: Paving the Way for the Increased Use of This Challenging Donor Type.

机构信息

Inserm U1082, Poitiers, F-86000, France.

Université de Poitiers, Faculté de Médecine et de Pharmacie, Poitiers, F-86000, France.

出版信息

Biomed Res Int. 2019 Sep 3;2019:5924101. doi: 10.1155/2019/5924101. eCollection 2019.

Abstract

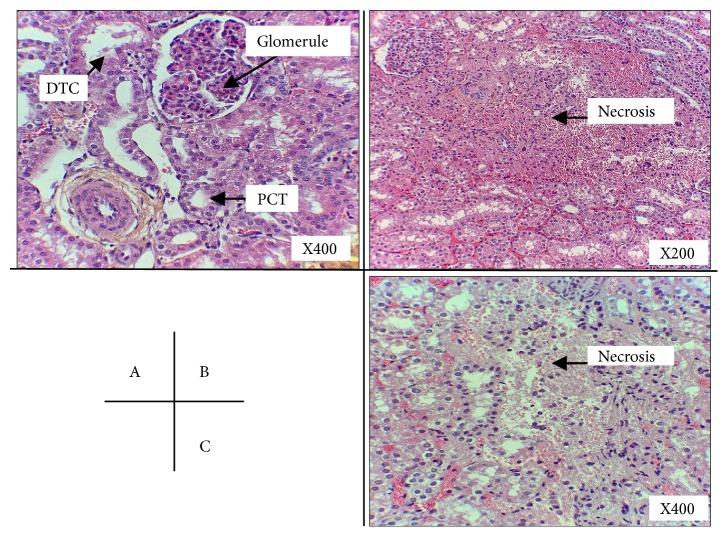
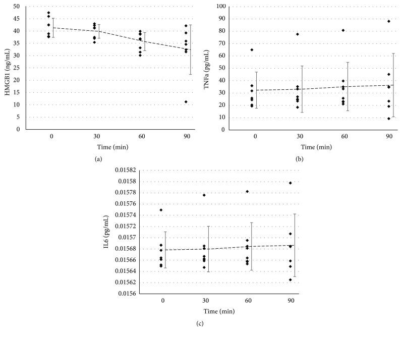
Deceased after circulatory death (DCD) donors offer a viable solution to the current organ shortage, particularly the Maastricht Class III (arrest subsequent to cessation of life support in the hospital). Although current results from these donors are very satisfactory, the number of included donors is too low and future expansion of inclusion criteria will likely decrease organ quality, with negative consequences on the complication rate. This donor type thus represents a priority in terms of scientific exploration, so as to study it in controlled settings and prepare for future challenges. Hence, we mimicked the DCD Class III clinical conditions a Large White pig model. Herein, we detail the different strategies attempted to attain our objectives, including technical approaches such as animal positioning and ventilator settings, as well as pharmacological intervention to modulate blood pressure and heart rate. We highlight the best combination of factors to successfully reproduce DCD Class III conditions, with perfusion pressures and functional warm ischemia (hypoperfusion) closely resembling clinical situations. Finally, we detail the functional and histological impacts of these conditions. Such a model could be of critical value to explore novel management alternative for these donors, presenting a uniquely adapted platform for such therapeutics as normothermic regional circulation and/or pharmacological intervention.

摘要

在循环死亡(DCD)供体后死亡的供体为当前的器官短缺提供了可行的解决方案,特别是马斯特里赫特 III 类(在医院停止生命支持后逮捕)。尽管这些供体目前的结果非常令人满意,但纳入的供体数量太低,未来扩大纳入标准可能会降低器官质量,对并发症发生率产生负面影响。因此,从科学探索的角度来看,这种供体类型是优先考虑的,以便在受控环境中研究它并为未来的挑战做好准备。因此,我们模拟了 DCD 类 III 临床情况的大白猪模型。在此,我们详细介绍了为实现目标而尝试的不同策略,包括动物定位和呼吸机设置等技术方法,以及调节血压和心率的药理学干预。我们强调了成功再现 DCD 类 III 条件的最佳因素组合,灌流压和功能热缺血(灌注不足)与临床情况非常相似。最后,我们详细介绍了这些条件的功能和组织学影响。这种模型对于探索这些供体的新管理方法可能具有重要价值,为常温区域循环和/或药理学干预等治疗方法提供了独特的适应平台。

https://cdn.ncbi.nlm.nih.gov/pmc/blobs/c76b/6745153/90437a71b256/BMRI2019-5924101.001.jpg

文献AI研究员

20分钟写一篇综述,助力文献阅读效率提升50倍。

立即体验

用中文搜PubMed

大模型驱动的PubMed中文搜索引擎

马上搜索

文档翻译

学术文献翻译模型,支持多种主流文档格式。

立即体验