Suppr超能文献

尿素衍生催化剂促进的羟吲哚与色酮的对映选择性羟烷基化反应。

Urea-Derivative Catalyzed Enantioselective Hydroxyalkylation of Hydroxyindoles with Isatins.

机构信息

Department of Pharmacy, Jilin Medical University, Jilin, Jilin 132013, China.

出版信息

Molecules. 2019 Oct 31;24(21):3944. doi: 10.3390/molecules24213944.

Abstract

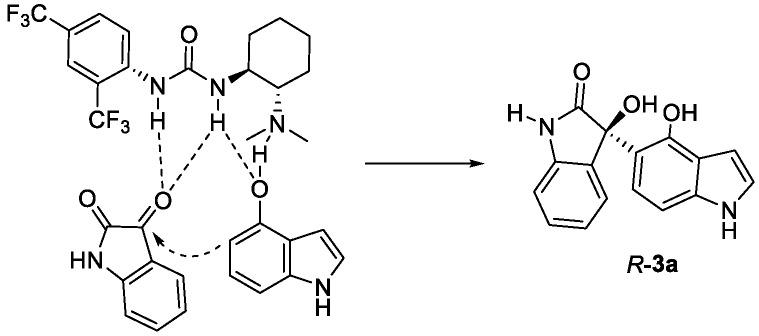
The enantioselective transformations of indoles preferentially take place in the more-reactive azole ring. However, the methods for the enantioselective functionalization of the indole benzene ring are scarce. In this paper, a series of bifunctional (thio)urea derivatives were used to organocatalyze the enantioselective Friedel-Crafts hydroxyalkylation of indoles with isatins. The resulting products were obtained in good yields (65-90%) with up to 94% enantiomer excess (ee). The catalyst type and the substrate scope were broadened in this methodology.

摘要

吲哚的对映选择性转化优先发生在更具反应性的唑环上。然而,吲哚苯环的对映选择性官能化方法却很少。在本文中,一系列双功能(硫)脲衍生物被用于有机催化吲哚与靛红的对映选择性Friedel-Crafts 羟烷基化反应。所得产物的产率(65-90%)较高,对映体过量(ee)高达 94%。该方法拓宽了催化剂类型和底物范围。

https://cdn.ncbi.nlm.nih.gov/pmc/blobs/b457/6864875/06742ea467e8/molecules-24-03944-g001.jpg

文献AI研究员

20分钟写一篇综述,助力文献阅读效率提升50倍。

立即体验

用中文搜PubMed

大模型驱动的PubMed中文搜索引擎

马上搜索

文档翻译

学术文献翻译模型,支持多种主流文档格式。

立即体验