Suppr超能文献

二尖瓣-主动脉瓣纤维间隔厚度的正常数值:一项多模态研究

Normal Values of the Mitral-Aortic Intervalvular Fibrosa Thickness: A Multimodality Study.

作者信息

Cresti Alberto, Baratta Pasquale, De Sensi Francesco, Solari Marco, Sposato Bruno, Minelli Stefano, Cioffi Nevada, Franci Luca, Scalese M, Limbruno Ugo

机构信息

Cardio-Neurovascular Department, Misricordia Hospital, Grosseto, Italy.

Pneumology Department, Azienda USL Toscana Sudest, Misericordia Hospital, Grosseto, Italy.

出版信息

J Cardiovasc Echogr. 2019 Jul-Sep;29(3):95-102. doi: 10.4103/jcecho.jcecho_28_19.

Abstract

BACKGROUND

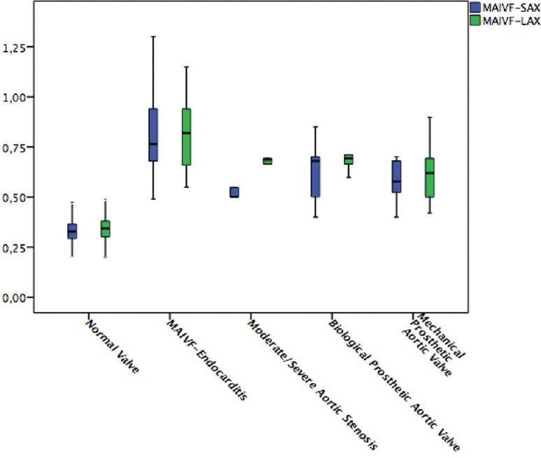
The avascular region of the fibrous body between the mitral and aortic valves, named mitral-aortic intervalvular fibrosa (MAIVF), is often involved in the periaortic diffusion of infective endocarditis (IE), resulting in abscess or pseudoaneurysm formation. The early recognition of these life-threatening complications is of crucial importance, as urgent surgical correction is necessary. In the first stages of the abscess formation, the only sign is an increased thickness of the MAIVF. To the best of our knowledge, normal transesophageal echocardiography (TEE) examination reference values for MAIVF thickness has not yet been established. The aim of the study was to define the normal ranges of MAIVF thickness in a population of healthy adults who underwent a TEE examination.

MATERIALS AND METHODS

A population of consecutive adult patients who underwent a TEE examination was enrolled in the study. Measurement was performed in short-axis (SAX) and long-axis (LAX) views. Mean-2 standard deviations (mean-2SDs) and 5%, 10%, 90%, and 95% confidence intervals were evaluated. A comparison with MAIVF thickness in patients affected by aortic IE complicated by abscess formation was performed, and receiver operating characteristic (ROC) curves were constructed to achieve the optimal cutoff value of normality.

RESULTS

A total of 477 consecutive Caucasian adult patients were enrolled (mean age: 69 years, range: 27-93 years). Mean-2SD MAIVF measurement in SAX view was 0.325 cm (95% confidence interval [CI]: 0.319-0.330 cm) and in LAX view was 0.340 cm (95% CI: 0.334-0.346 cm). Computed tomography-MAIVF mean measurement (±2SD) was 0.237 cm (95% CI: 0.110-0.340 cm). ROC curves showed that a cutoff SAX value measurement of 0.552 (area under the curve [AUC]: 95.2%) had a sensibility of 88.2% and a specificity of 92.4%; a LAX measurement value of 0.623 (AUC: 93.3%) had a sensibility of 82.7% and a specificity of 85.7%. The multivariate analysis showed no significant correlation between MAIVF thickness, age, and sex.

CONCLUSION

In healthy patients, MAIVF thickness should not exceed 0.600 cm. Above these values, the suspicion of a periaortic abscess formation should be raised. MAIVF increased thickness may be an early sign of perivalvular diffusion requiring an urgent endocarditis team evaluation.

摘要

背景

二尖瓣和主动脉瓣之间纤维体的无血管区域,称为二尖瓣 - 主动脉瓣间纤维(MAIVF),常参与感染性心内膜炎(IE)的主动脉周围扩散,导致脓肿或假性动脉瘤形成。尽早识别这些危及生命的并发症至关重要,因为需要紧急手术矫正。在脓肿形成的第一阶段,唯一的迹象是MAIVF厚度增加。据我们所知,经食管超声心动图(TEE)检查中MAIVF厚度的正常参考值尚未确立。本研究的目的是确定接受TEE检查的健康成年人群中MAIVF厚度的正常范围。

材料与方法

连续纳入接受TEE检查的成年患者。在短轴(SAX)和长轴(LAX)视图下进行测量。评估均值减2标准差(mean - 2SDs)以及5%、10%、90%和95%置信区间。将其与合并脓肿形成的主动脉IE患者的MAIVF厚度进行比较,并构建受试者工作特征(ROC)曲线以获得正常的最佳截断值。

结果

共纳入477例连续的白种成年患者(平均年龄:69岁,范围:27 - 93岁)。SAX视图下MAIVF的mean - 2SD测量值为0.325 cm(95%置信区间[CI]:0.319 - 0.330 cm),LAX视图下为0.340 cm(95% CI:0.334 - 0.346 cm)。计算机断层扫描 - MAIVF平均测量值(±2SD)为0.237 cm(95% CI:0.110 - 0.340 cm)。ROC曲线显示SAX测量值截断值为0.552(曲线下面积[AUC]:95.2%)时,敏感度为88.2%,特异度为92.4%;LAX测量值为0.623(AUC:93.3%)时,敏感度为82.7%,特异度为85.7%。多因素分析显示MAIVF厚度、年龄和性别之间无显著相关性。

结论

在健康患者中,MAIVF厚度不应超过0.600 cm。超过这些值时,应怀疑主动脉周围脓肿形成。MAIVF厚度增加可能是瓣周扩散的早期迹象,需要心内膜炎团队进行紧急评估。

https://cdn.ncbi.nlm.nih.gov/pmc/blobs/25ff/6829758/dc1a05bcc75a/JCE-29-95-g001.jpg

文献检索

告别复杂PubMed语法,用中文像聊天一样搜索,搜遍4000万医学文献。AI智能推荐,让科研检索更轻松。

立即免费搜索

文件翻译

保留排版,准确专业,支持PDF/Word/PPT等文件格式,支持 12+语言互译。

免费翻译文档

深度研究

AI帮你快速写综述,25分钟生成高质量综述,智能提取关键信息,辅助科研写作。

立即免费体验