Suppr超能文献

超临界二氧化碳中高类胡萝卜素辣椒粉提取物溶解度的实验数据和建模。

Experimental Data and Modelling of the Solubility of High-Carotenoid Paprika Extract in Supercritical Carbon Dioxide.

机构信息

Łukasiewicz Research Network-New Chemical Syntheses Institute, Al. Tysiąclecia Państwa Polskiego 13A, 24-110 Puławy, Poland.

出版信息

Molecules. 2019 Nov 18;24(22):4174. doi: 10.3390/molecules24224174.

Abstract

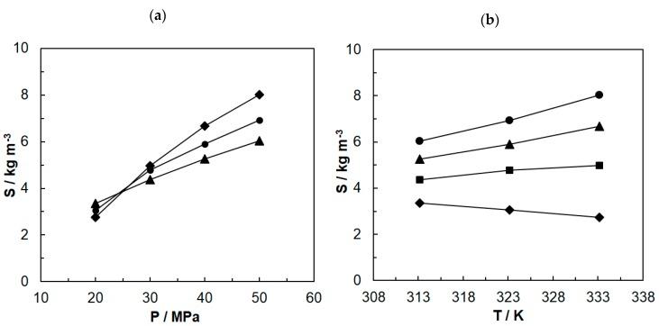
The studies of solubility of the paprika extract with a high concentration of carotenoids in carbon dioxide under the pressure of 20-50 MPa and at temperatures of 313.15-333.15 K were carried out using the static method. The highest solubility of paprika extract was achieved at the temperature of 333.15 K and under the pressure of 50 MPa. The obtained experimental data were correlated with five density-based models, applied for prediction of solubility in the supercritical carbon dioxide (the Chrastil, del Valle and Aguilera, Adachi and Lu, Sparks et al. and Bian et al. models). The accuracy of particular models with reference to measurement results was specified with the average absolute relative deviation (AARD) and coefficient of determination (R). Results showed that solubility calculated based on the selected models was compliant with experimental data.

摘要

采用静态法研究了在 20-50 MPa 压力和 313.15-333.15 K 温度下,高浓度类胡萝卜素辣椒粉提取物在二氧化碳中的溶解度。在 333.15 K 温度和 50 MPa 压力下,获得了最高的辣椒粉提取物溶解度。用五种基于密度的模型对所得实验数据进行了关联,这些模型用于预测超临界二氧化碳中的溶解度(Chrastil、del Valle 和 Aguilera、Adachi 和 Lu、Sparks 等人以及 Bian 等人的模型)。通过平均绝对相对偏差(AARD)和确定系数(R)指定了特定模型相对于测量结果的准确性。结果表明,基于所选模型计算出的溶解度与实验数据相符。

https://cdn.ncbi.nlm.nih.gov/pmc/blobs/0fc2/6891460/571018b6703d/molecules-24-04174-g001.jpg

文献AI研究员

20分钟写一篇综述,助力文献阅读效率提升50倍。

立即体验

用中文搜PubMed

大模型驱动的PubMed中文搜索引擎

马上搜索

文档翻译

学术文献翻译模型,支持多种主流文档格式。

立即体验