Suppr超能文献

外源乙烯调节芥菜(L.)的防御机制并增强其对锌胁迫的耐受性。

Exogenously-Sourced Ethylene Modulates Defense Mechanisms and Promotes Tolerance to Zinc Stress in Mustard ( L.).

作者信息

Khan M Iqbal R, Jahan Badar, Alajmi Mohamed F, Rehman Md Tabish, Khan Nafees A

机构信息

Plant Systems Biology Laboratory, Department of Botany, School of Chemical and Life Sciences, Jamia Hamdard, New Delhi 110065, India.

Plant Physiology and Biochemistry Laboratory, Department of Botany, Aligarh Muslim University, Aligarh 202002, India.

出版信息

Plants (Basel). 2019 Nov 25;8(12):540. doi: 10.3390/plants8120540.

Abstract

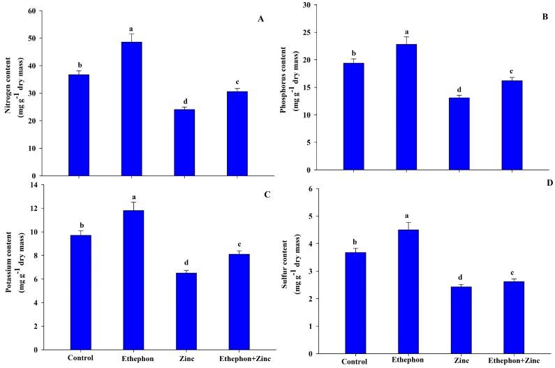
Heavy metal (HM) contamination of agricultural soil is primarily related to anthropogenic perturbations. Exposure to high concentration of HMs causes toxicity and undesirable effects in plants. In this study, the significance of ethylene was studied in response of mustard () to a high level (200 mg kg soil) of zinc (Zn) exposure. Plants with high Zn showed inhibited photosynthesis and growth with the increase in oxidative stress. Application of ethylene (as ethephon) to Zn-grown plants restored photosynthesis and growth by inhibiting oxidative stress through increased antioxidant activity, the proline metabolism glyoxalase system, and nutrient homoeostasis. The results suggested that ethylene played a role in modulating defense mechanisms for tolerance of plants to Zn stress.

摘要

农业土壤中的重金属(HM)污染主要与人为干扰有关。暴露于高浓度的重金属会对植物产生毒性和不良影响。在本研究中,研究了乙烯在芥菜()对高水平(200 mg/kg土壤)锌(Zn)暴露的响应中的作用。锌含量高的植物随着氧化应激的增加,光合作用和生长受到抑制。对锌处理的植物施用乙烯(如乙烯利),通过提高抗氧化活性、脯氨酸代谢乙二醛酶系统和养分稳态来抑制氧化应激,从而恢复光合作用和生长。结果表明,乙烯在调节植物对锌胁迫的耐受防御机制中发挥了作用。

https://cdn.ncbi.nlm.nih.gov/pmc/blobs/5dd6/6963746/aca2289d8552/plants-08-00540-g001.jpg

文献AI研究员

20分钟写一篇综述,助力文献阅读效率提升50倍。

立即体验

用中文搜PubMed

大模型驱动的PubMed中文搜索引擎

马上搜索

文档翻译

学术文献翻译模型,支持多种主流文档格式。

立即体验