Zhao Ailing, Ding Daling, Li Xueqin, Wang Jiangtao
Department of Infant Ward, Children's Hospital Affiliated of Zhengzhou University, Zhengzhou, Henan 450018, People's Republic of China.
Department of Infant Ward, Henan Children's Hospital, Zhengzhou, Henan 450018, People's Republic of China.
Cancer Manag Res. 2019 Dec 24;11:10759-10766. doi: 10.2147/CMAR.S221110. eCollection 2019.
Malignant triton tumor (MTT) is a rare and devastating malignant peripheral nerve-sheath tumor, which shows rapid growth and poor clinical outcomes. Here, we reported a 2-year-old girl who was diagnosed as MTT, an overview of the literature was conducted to discuss the clinical features and optimal treatment strategies of MTT.
We conducted an analysis of 42 patients from the PubMed, Medline, Embase and Web of Science databases for relevant articles published between 1938 and 2018.
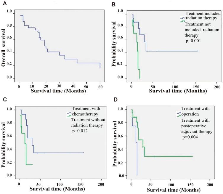
A 2-year-old girl died of tumor recurrence. Forty-two eligible cases of MTT in children (birth to 18 years; mean age, 8.3 years), the highest frequency of occurrence was in 12-16 years; and the male-to-female ratio was 1.7:1. Only 33 provided complete treatment details: 11 patients received treatment by surgery alone; 2 received both surgery and chemotherapy; 4 received both surgery and radiation therapy; 14 received surgery, chemotherapy, and radiation therapy; 1 case received chemotherapy and radiation therapy; and only 1 received supportive care. In the 33 cases, the average OS and 5-year OS probability were 23.9 months (range, 0.3-156 months) and 27.5 ± 4.3%. There were significant differences between radiation therapy and patient survival (p<0.05), postoperative chemotherapy/radiation therapy and patient prognosis (p<0.05).
The clinical and histopathological features and therapeutic options for MTT are discussed in the light of published data. Further studies are needed to improve survival in children with this rare malignant tumor.
恶性蝾螈瘤(MTT)是一种罕见且具有侵袭性的恶性周围神经鞘瘤,生长迅速,临床预后较差。在此,我们报告了一名被诊断为MTT的2岁女孩,并对相关文献进行综述,以探讨MTT的临床特征和最佳治疗策略。
我们对来自PubMed、Medline、Embase和Web of Science数据库中1938年至2018年间发表的相关文章进行分析,纳入42例患者。
一名2岁女孩死于肿瘤复发。42例符合条件的儿童MTT病例(出生至18岁;平均年龄8.3岁),发病高峰年龄为12 - 16岁;男女比例为1.7:1。仅33例提供了完整的治疗细节:11例患者仅接受手术治疗;2例接受手术和化疗;4例接受手术和放疗;14例接受手术、化疗和放疗;1例接受化疗和放疗;仅1例接受支持治疗。在这33例中,平均总生存期(OS)和5年OS概率分别为23.9个月(范围0.3 - 156个月)和27.5±4.3%。放疗与患者生存率之间(p<0.05)、术后化疗/放疗与患者预后之间(p<0.05)存在显著差异。
根据已发表的数据讨论了MTT的临床、组织病理学特征及治疗选择。需要进一步研究以提高这种罕见恶性肿瘤患儿的生存率。