Suppr超能文献

卡格列净起始治疗后的心血管结局和死亡率:来自EASEL研究的分析。

Cardiovascular outcomes and mortality after initiation of canagliflozin: Analyses from the EASEL Study.

作者信息

Udell Jacob A, Yuan Zhong, Ryan Patrick, Rush Toni, Sicignano Nicholas M, Galitz Michael, Rosenthal Norman

机构信息

Department of Medicine Cardiovascular Division Peter Munk Cardiac Centre Toronto General Hospital and Women's College Hospital University of Toronto Toronto ON Canada.

Janssen Research & Development, LLC Titusville NJ USA.

出版信息

Endocrinol Diabetes Metab. 2019 Oct 15;3(1):e00096. doi: 10.1002/edm2.96. eCollection 2020 Jan.

Abstract

INTRODUCTION

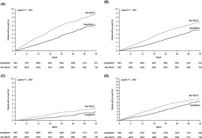
In the EASEL study of patients with type 2 diabetes and high cardiovascular risk, initiation of sodium glucose co-transporter 2 inhibitors (SGLT2i) was associated with lower risk of cardiovascular events and mortality and higher risk of below-knee lower extremity (BKLE) amputation versus non-SGLT2i therapies. This analysis further examined risk of cardiovascular events, cardiovascular and noncardiovascular death and BKLE amputation with the SGLT2i canagliflozin versus non-SGLT2i.

METHODS

New user cohorts were constructed from Department of Defense Military Health System patients initiating canagliflozin or non-SGLT2i (4/1/2013-12/31/2016). Propensity score matching (1:1) controlled for imbalances in baseline covariates. Incidence rates, hazard ratios and 95% confidence intervals for time to first composite outcome of all-cause mortality (ACM) and hospitalization for heart failure (HHF), composite major adverse cardiovascular events (MACE) and individual components were evaluated using conditional Cox models. The National Death Index was used to differentiate cardiovascular from noncardiovascular death. The exploratory safety end-point was BKLE amputation.

RESULTS

After propensity matching, 15 394 patients with well-balanced baseline covariates were followed for a median of 2.03 years (intent-to-treat). Canagliflozin showed significant benefit for ACM and HHF ( < .0001), MACE ( = .0001), cardiovascular death ( < .0001) and noncardiovascular death ( = .0018). No significant difference in risk of BKLE amputation was observed ( = .20), though few events were observed. Results were generally consistent in on-treatment analyses.

CONCLUSIONS

In this high cardiovascular risk cohort studied in routine clinical practice, canagliflozin was associated with lower risk of cardiovascular events, cardiovascular death and all-cause mortality with no significant increase in BKLE amputation risk versus non-SGLT2i.

摘要

引言

在一项针对2型糖尿病和心血管疾病高风险患者的EASEL研究中,与非钠-葡萄糖协同转运蛋白2抑制剂(SGLT2i)治疗相比,启动SGLT2i治疗与较低的心血管事件风险和死亡率以及较高的膝下下肢(BKLE)截肢风险相关。本分析进一步研究了SGLT2i卡格列净与非SGLT2i相比,心血管事件、心血管和非心血管死亡以及BKLE截肢的风险。

方法

从美国国防部军事卫生系统中开始使用卡格列净或非SGLT2i的患者(2013年4月1日至2016年12月31日)构建新用户队列。倾向评分匹配(1:1)用于控制基线协变量的不平衡。使用条件Cox模型评估全因死亡率(ACM)和心力衰竭住院(HHF)、复合主要不良心血管事件(MACE)及其各个组成部分的首次复合结局发生时间的发病率、风险比和95%置信区间。使用国家死亡指数区分心血管死亡和非心血管死亡。探索性安全终点为BKLE截肢。

结果

倾向匹配后,对15394例基线协变量平衡良好的患者进行了为期2.03年的中位随访(意向性治疗)。卡格列净在ACM和HHF(P<0.0001)、MACE(P=0.0001)、心血管死亡(P<0.0001)和非心血管死亡(P=0.0018)方面显示出显著益处。虽然观察到的BKLE截肢事件较少,但未观察到BKLE截肢风险的显著差异(P=0.20)。治疗中分析的结果总体一致。

结论

在这项常规临床实践中研究的心血管疾病高风险队列中,与非SGLT2i相比,卡格列净与较低的心血管事件风险、心血管死亡和全因死亡率相关,且BKLE截肢风险无显著增加。

https://cdn.ncbi.nlm.nih.gov/pmc/blobs/2508/6947703/e2f718a97536/EDM2-3-e00096-g001.jpg

文献检索

告别复杂PubMed语法,用中文像聊天一样搜索,搜遍4000万医学文献。AI智能推荐,让科研检索更轻松。

立即免费搜索

文件翻译

保留排版,准确专业,支持PDF/Word/PPT等文件格式,支持 12+语言互译。

免费翻译文档

深度研究

AI帮你快速写综述,25分钟生成高质量综述,智能提取关键信息,辅助科研写作。

立即免费体验