Centre for Infectious Disease Control, National Institute for Public Health and the Environment, Antonie Van Leeuwenhoeklaan 9, 3721 MA, Bilthoven, The Netherlands.
Department of Infectious Disease Epidemiology, Faculty of Epidemiology and Population Health, London School of Hygiene & Tropical Medicine, London, UK.
BMC Med. 2020 Jan 14;18(1):11. doi: 10.1186/s12916-019-1471-x.
The present study aims to assess the cost-effectiveness of an influenza vaccination program for children in the Netherlands. This requires an evaluation of the long-term impact of such a program on the burden of influenza across all age groups, using a transmission model that accounts for the seasonal variability in vaccine effectiveness and the shorter duration of protection following vaccination as compared to natural infection.
We performed a cost-effectiveness analysis based on a stochastic dynamic transmission model that has been calibrated to reported GP visits with influenza-like illness in the Netherlands over 11 seasons (2003/2004 to 2014/2015). We analyzed the costs and effects of extending the current program with vaccination of children aged 2-16 years at 50% coverage over 20 consecutive seasons. We measured the effects in quality-adjusted life-years (QALYs) and we adopted a societal perspective.
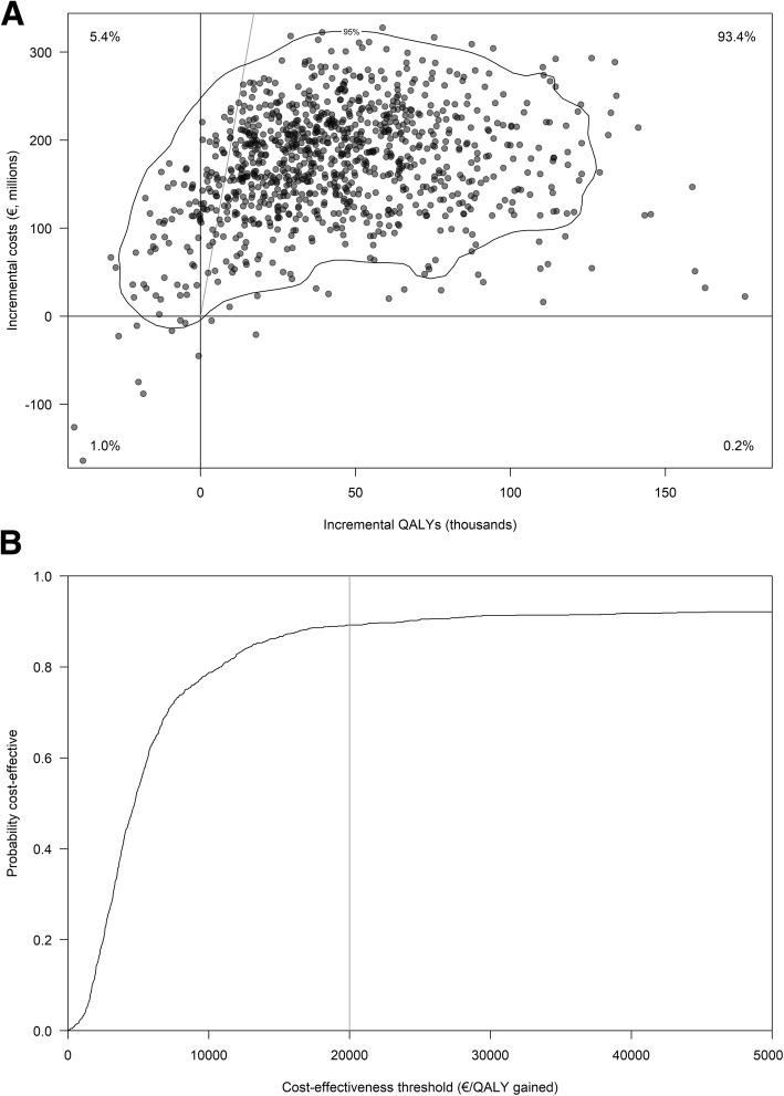
The childhood vaccination program is estimated to have an average incremental cost-effectiveness ratio (ICER) of €3944 per QALY gained and is cost-effective in the general population (across 1000 simulations; conventional Dutch threshold of €20,000 per QALY gained). The childhood vaccination program is not estimated to be cost-effective for the target-group itself with an average ICER of €57,054 per QALY gained. Uncertainty analyses reveal that these ICERs hide a wide range of outcomes. Even though introduction of a childhood vaccination program decreases the number of infections, it tends to lead to larger epidemics: in 23.3% of 1000 simulations, the childhood vaccination program results in an increase in seasons with a symptomatic attack rate larger than 5%, which is expected to cause serious strain on the health care system. In 6.4% of 1000 simulations, the childhood vaccination program leads to a net loss of QALYs. These findings are robust across different targeted age groups and vaccination coverages.
Modeling indicates that childhood influenza vaccination is cost-effective in the Netherlands. However, childhood influenza vaccination is not cost-effective when only outcomes for the children themselves are considered. In approximately a quarter of the simulations, the introduction of a childhood vaccination program increases the frequency of seasons with a symptomatic attack rate larger than 5%. The possibility of an overall health loss cannot be excluded.
本研究旨在评估荷兰儿童流感疫苗接种计划的成本效益。这需要评估该计划对所有年龄段流感负担的长期影响,使用一种传播模型,该模型考虑了疫苗效力的季节性变化以及与自然感染相比疫苗保护作用持续时间较短的情况。
我们基于已校准到荷兰 11 个季节(2003/2004 年至 2014/2015 年)报告的全科医生就诊中流感样疾病的随机动态传播模型进行了成本效益分析。我们分析了在 20 个连续季节以 50%的覆盖率为 2-16 岁儿童扩展当前计划的成本和效果。我们以质量调整生命年(QALY)衡量效果,并采用了一种社会视角。
儿童疫苗接种计划的平均增量成本效益比(ICER)估计为每获得一个 QALY 增加 3944 欧元,在普通人群中具有成本效益(在 1000 次模拟中;常规荷兰每获得一个 QALY 增加 20000 欧元的阈值)。对于目标人群本身,儿童疫苗接种计划的平均 ICER 为每获得一个 QALY 增加 57054 欧元,预计不会具有成本效益。不确定性分析表明,这些 ICER 掩盖了广泛的结果。尽管引入儿童疫苗接种计划会减少感染人数,但它往往会导致更大的疫情:在 1000 次模拟中的 23.3%中,儿童疫苗接种计划导致出现症状发病率大于 5%的季节增加,这预计会对医疗保健系统造成严重压力。在 1000 次模拟中的 6.4%中,儿童疫苗接种计划导致 QALY 净损失。这些发现在不同的目标年龄组和疫苗覆盖率下都是稳健的。
模型表明,荷兰儿童流感疫苗接种具有成本效益。然而,仅考虑儿童自身的结果,儿童流感疫苗接种就不具有成本效益。在大约四分之一的模拟中,引入儿童疫苗接种计划会增加症状发病率大于 5%的季节频率。不能排除整体健康损失的可能性。