Suppr超能文献

半机械论建模指导 Venetoclax 与利托那韦和地高辛联合用药。

Semimechanistic Modeling to Guide Venetoclax Coadministration with Ritonavir and Digoxin.

机构信息

Clinical Pharmacology and Pharmacometrics, AbbVie Inc., North Chicago, Illinois, USA.

Department of Clinical Pharmacy, Faculty of Pharmacy, Ain Shams University, Cairo, Egypt.

出版信息

Clin Transl Sci. 2020 May;13(3):555-562. doi: 10.1111/cts.12739. Epub 2020 Mar 13.

Abstract

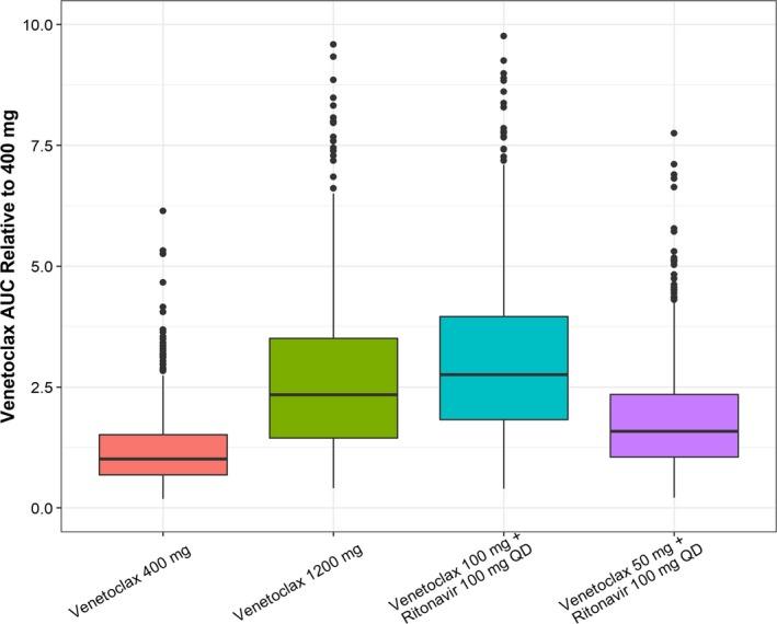
Venetoclax is a cytochrome P450, family 3, subfamily A (CYP3A) substrate and was shown to inhibit P-gp efflux transporters in vitro. To quantify the impact of CYP3A inhibition by ritonavir on venetoclax disposition and P-gp inhibition by venetoclax on digoxin pharmacokinetics, two semimechanistic drug-drug interaction (DDI) models of venetoclax were developed using clinical data from healthy volunteers who received subtherapeutic doses of venetoclax with ritonavir 50-100 mg or digoxin 0.5 mg. These models were then used to assess the magnitude of interaction at therapeutic venetoclax doses and to explore various clinical dosing strategies that maintain venetoclax and digoxin concentrations within their respective therapeutic windows. Simulations demonstrated that venetoclax dose reductions of at least 75% are needed when venetoclax is coadministered with ritonavir and administering digoxin at least 2 hours before venetoclax would minimize DDI. Semimechanistic modeling leveraging clinical data is a plausible approach to predict DDI and propose dose adjustments, and administration time of interacting drugs.

摘要

维奈托克是细胞色素 P450 家族 3 亚家族 A(CYP3A)的底物,体外研究显示其可抑制 P-糖蛋白外排转运体。为了定量评估利托那韦对维奈托克处置的 CYP3A 抑制作用,以及维奈托克对地高辛药代动力学的 P-糖蛋白抑制作用,采用接受利托那韦 50-100mg 或地高辛 0.5mg 亚治疗剂量维奈托克的健康志愿者的临床数据,建立了两种半机械药物相互作用(DDI)维奈托克模型。然后,这些模型用于评估在治疗性维奈托克剂量下相互作用的程度,并探讨了各种临床给药策略,以维持维奈托克和地高辛浓度在各自的治疗窗内。模拟结果表明,当维奈托克与利托那韦同时给药时,需要将维奈托克剂量减少至少 75%,而至少在维奈托克给药前 2 小时给予地高辛可将 DDI 最小化。利用临床数据进行半机械建模是预测 DDI 并提出剂量调整和相互作用药物给药时间的合理方法。

https://cdn.ncbi.nlm.nih.gov/pmc/blobs/2ec2/7214649/588cc028b06d/CTS-13-555-g001.jpg

文献检索

告别复杂PubMed语法,用中文像聊天一样搜索,搜遍4000万医学文献。AI智能推荐,让科研检索更轻松。

立即免费搜索

文件翻译

保留排版,准确专业,支持PDF/Word/PPT等文件格式,支持 12+语言互译。

免费翻译文档

深度研究

AI帮你快速写综述,25分钟生成高质量综述,智能提取关键信息,辅助科研写作。

立即免费体验