Kniec Karolina, Tikhomirov Marta, Pozniak Blazej, Ledwa Karolina, Marciniak Lukasz
Institute of Low Temperature and Structure Research, Polish Academy of Sciences, Okólna 2, 50-422 Wroclaw, Poland.
Department of Pharmacology and Toxicology, Faculty of Veterinary Medicine, Wroclaw University of Environmental and Life Sciences, ul. Norwida 25, 50-375 Wroclaw, Poland.
Nanomaterials (Basel). 2020 Jan 22;10(2):189. doi: 10.3390/nano10020189.
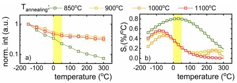
New types of contactless luminescence nanothermometers, namely, LiAlO:Fe and LiAlO:Fe, Nd are presented for the first time, revealing the potential for applications in biological systems. The temperature-sensing capability of the nanocrystals was analyzed in wide range of temperature (-150 to 300 °C). The emission intensity of the Fe ions is affected by the change in temperature, which induces quenching of the T (G) → A (S) Fe transition situated in the 1 biological window. The highest relative sensitivity in the temperature range (0 to 50 °C) was found to be 0.82% °C (at 26 °C) for LiAlO: 0.05% Fe nanoparticles that are characterized by long luminescent lifetime of 5.64 ms. In the range of low and high temperatures the S was calculated for LiAlO:0.5% Fe to be 0.92% °C at -100 °C and for LiAlO:0.01% Fe to be 0.79% °C at 150 °C. The cytotoxicity assessment carried out on the LiAlO:Fe nanocrystals, demonstrated that they are biocompatible and may be utilized for in vivo temperature sensing. The ratiometric luminescent nanothermometer, LiAlO:Fe, Nd, which was used as a reference, possesses an S = 0.56%/°C at -80 °C, upon separate excitation of Fe and Nd ions using 266 nm and 808 nm light, respectively.
首次展示了新型非接触式发光纳米温度计,即LiAlO:Fe和LiAlO:Fe, Nd,揭示了其在生物系统中的应用潜力。在很宽的温度范围(-150至300°C)内分析了纳米晶体的温度传感能力。Fe离子的发射强度受温度变化影响,温度变化会导致位于生物窗口的T(G)→A(S) Fe跃迁猝灭。对于具有5.64 ms长发光寿命的LiAlO: 0.05% Fe纳米颗粒,发现在温度范围(0至50°C)内最高相对灵敏度为0.82%/°C(在26°C时)。在低温和高温范围内,计算得出LiAlO:0.5% Fe在-100°C时的S为0.92%/°C,LiAlO:0.01% Fe在150°C时的S为0.79%/°C。对LiAlO:Fe纳米晶体进行的细胞毒性评估表明它们具有生物相容性,可用于体内温度传感。用作参考的比率发光纳米温度计LiAlO:Fe, Nd,在分别使用266 nm和808 nm光激发Fe和Nd离子时,在-80°C时的S = 0.56%/°C。