Department of Biochemistry, Faculty of Science, Prince of Songkla University, Hat-Yai, Songkhla 90112, Thailand.
Department of Oral Biology and Occlusion, Faculty of Dentistry, Prince of Songkla University, Hat-Yai, Songkhla 90112, Thailand.
Biomolecules. 2020 Jan 27;10(2):190. doi: 10.3390/biom10020190.
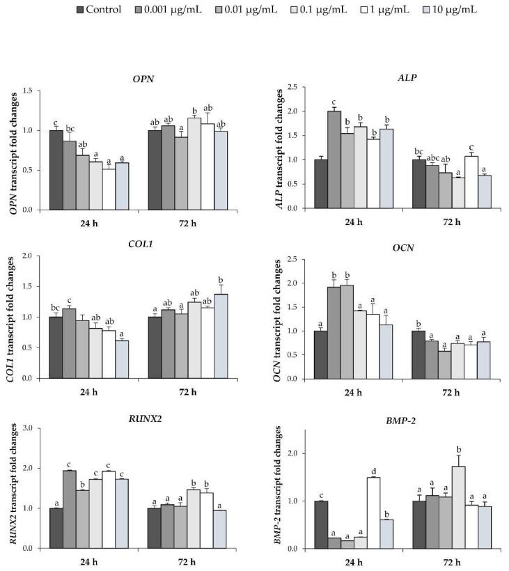
Osteoporosis is a leading world health problem that results from an imbalance between bone formation and bone resorption. β-glucans has been extensively reported to exhibit a wide range of biological activities, including antiosteoporosis both in vitro and in vivo. However, the molecular mechanisms responsible for β-glucan-mediated bone formation in osteoblasts have not yet been investigated. The oyster mushroom produces abundant amounts of an insoluble β-glucan, which is rendered soluble by enzymatic degradation using glucanase to generate low-molecular-weight glucanoligosaccharide (-GOS). This study aimed to investigate the osteogenic enhancing activity and underlining molecular mechanism of -GOS on osteoblastogenesis of pre-osteoblastic MC3T3-E1 cells. In this study, it was demonstrated for the first time that low concentrations of -GOS could promote cell proliferation and division after 48 h of treatment. In addition, -GOS upregulated the mRNA and protein expression level of bone morphogenetic protein-2 (BMP-2) and runt-related transcription factor-2 (Runx2), which are both involved in BMP signaling pathway, accompanied by increased alkaline phosphatase (ALP) activity and mineralization. -GOS also upregulated the expression of osteogenesis related genes including ALP, collagen type 1 (COL1), and osteocalcin (OCN). Moreover, our novel findings suggest that -GOS may exert its effects through the mitogen-activated protein kinase (MAPK) and wingless-type MMTV integration site (Wnt)/β-catenin signaling pathways.
骨质疏松症是一种全球性的健康问题,主要是由于骨形成和骨吸收之间的失衡所致。β-葡聚糖已被广泛报道具有广泛的生物活性,包括在体外和体内的抗骨质疏松作用。然而,β-葡聚糖介导成骨细胞骨形成的分子机制尚未得到研究。牡蛎菇产生大量不溶性β-葡聚糖,通过使用葡聚糖酶进行酶解使其变为可溶性,从而生成低分子量葡寡糖(-GOS)。本研究旨在研究 -GOS 对前成骨细胞 MC3T3-E1 细胞成骨作用的增强活性及其潜在的分子机制。在这项研究中,首次证明低浓度的 -GOS 在处理 48 小时后可以促进细胞增殖和分裂。此外,-GOS 上调了骨形态发生蛋白-2(BMP-2)和 runt 相关转录因子-2(Runx2)的 mRNA 和蛋白表达水平,这两者都参与 BMP 信号通路,同时碱性磷酸酶(ALP)活性和矿化增加。-GOS 还上调了骨形成相关基因的表达,包括碱性磷酸酶(ALP)、胶原类型 1(COL1)和骨钙素(OCN)。此外,我们的新发现表明,-GOS 可能通过丝裂原激活蛋白激酶(MAPK)和无翅型 MMV 整合位点(Wnt)/β-连环蛋白信号通路发挥作用。