Suppr超能文献

β-葡聚糖的临床和生理学透视:过去、现在和未来。

Clinical and Physiological Perspectives of β-Glucans: The Past, Present, and Future.

机构信息

Seafood Research Center, IACF, Silla University, Advanced Seafood Processing Complex #606, Wonyang-ro, Amnam-dong, Seo-gu, Busan 49277, Korea.

Major in Food Biotechnology, Division of Bioindustry, College of Medical and Life Sciences, Silla University, 140, Baegyang-daero 700 beon-gil, Sasang-gu, Busan 46958, Korea.

出版信息

Int J Mol Sci. 2017 Sep 5;18(9):1906. doi: 10.3390/ijms18091906.

Abstract

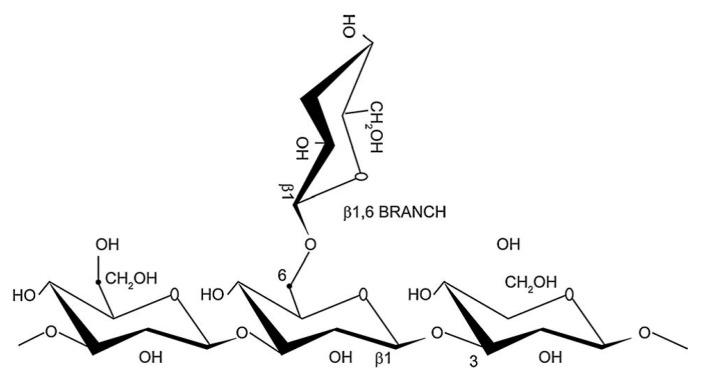
β-Glucans are a group of biologically-active fibers or polysaccharides from natural sources with proven medical significance. β-Glucans are known to have antitumor, anti-inflammatory, anti-obesity, anti-allergic, anti-osteoporotic, and immunomodulating activities. β-Glucans are natural bioactive compounds and can be taken orally, as a food supplement, or as part of a daily diet, and are considered safe to use. The medical significance and efficiency of β-glucans are confirmed in vitro, as well as using animal- and human-based clinical studies. However, systematic study on the clinical and physiological significance of β-glucans is scarce. In this review, we not only discuss the clinical and physiological importance of β-glucans, we also compare their biological activities through the existing in vitro and animal-based in vivo studies. This review provides extensive data on the clinical study of β-glucans.

摘要

β-葡聚糖是一类具有生物活性的纤维或多糖,来源于天然物质,具有显著的医学意义。β-葡聚糖具有抗肿瘤、抗炎、抗肥胖、抗过敏、抗骨质疏松和免疫调节活性。β-葡聚糖是天然的生物活性化合物,可以口服、作为膳食补充剂或作为日常饮食的一部分,使用安全。β-葡聚糖的医学意义和功效已在体外以及基于动物和人体的临床研究中得到证实。然而,β-葡聚糖的临床和生理意义的系统研究还很匮乏。在这篇综述中,我们不仅讨论了β-葡聚糖的临床和生理重要性,还通过现有的体外和基于动物的体内研究比较了它们的生物活性。这篇综述提供了关于β-葡聚糖临床研究的广泛数据。

https://cdn.ncbi.nlm.nih.gov/pmc/blobs/73fe/5618555/6080f0d65772/ijms-18-01906-g001.jpg

文献AI研究员

20分钟写一篇综述,助力文献阅读效率提升50倍。

立即体验

用中文搜PubMed

大模型驱动的PubMed中文搜索引擎

马上搜索

文档翻译

学术文献翻译模型,支持多种主流文档格式。

立即体验