Rocco Dalila, Manfroni Giacomo, Prescimone Alessandro, Klein Y Maximilian, Gawryluk Dariusz J, Constable Edwin C, Housecroft Catherine E
Department of Chemistry, University of Basel, BPR 1096, Mattenstrasse 24a, CH-4058 Basel, Switzerland.
Laboratory for Multiscale Materials Experiments, Paul Scherrer Institut, CH-5232 Villigen PSI, Switzerland.
Polymers (Basel). 2020 Feb 4;12(2):318. doi: 10.3390/polym12020318.
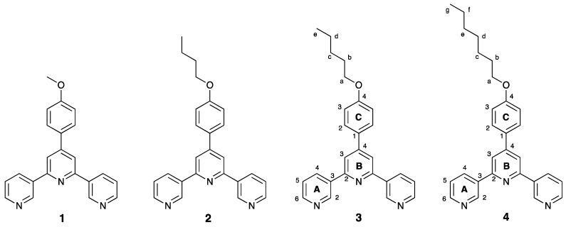
Five coordination polymers formed from combinations of copper(II) acetate and 4'-(4-alkyloxyphenyl)-3,2':6',3''-terpyridines with methoxy (), -butoxy (), -pentyloxy () and -heptyloxy () substituents are reported. Reaction of with Cu(OAc)∙HO leads to the 1D-polymer [Cu(μ-OAc)()] in which {Cu(-OAc)} paddle-wheel units are connected by ligands , or [{Cu(μ-OH)(μ-OAc)(μ-OAc)(AcO-κO)()}2MeOH] in which centrosymmetric tetranuclear clusters link pairs of ligands to give a double-stranded 1D-polymer. Layering solutions of Cu(OAc)∙HO (in MeOH) over , or (in CHCl) leads to the assembly of the 1D-polymers [2{Cu(μ-OAc)()}1.25MeOH], [Cu(μ-OAc)()] and [{Cu(μ-OAc)()}0.2CHCl]. In all compounds, the 3,2':6',3''-tpy unit coordinates only through the outer pyridine rings, but the conformation of the 3,2':6',3''-tpy responds to changes in the length of the alkyloxy tails leading to changes in the conformation of the polymer backbone and in the packing of the chains in the crystal lattice in the chains featuring {Cu(-OAc)} paddle-wheel linkers.
报道了由醋酸铜(II)与带有甲氧基()、丁氧基()、戊氧基()和庚氧基()取代基的4'-(4-烷氧基苯基)-3,2':6',3''-三联吡啶组合形成的五种配位聚合物。与Cu(OAc)∙H₂O反应生成一维聚合物[Cu(μ-OAc)()],其中{Cu(μ-OAc)}桨轮单元通过配体相连,或者生成[{Cu(μ-OH)(μ-OAc)(μ-OAc)(AcO-κO)()}₂·MeOH],其中中心对称的四核簇连接配体对形成双链一维聚合物。将Cu(OAc)∙H₂O(在甲醇中)的溶液覆盖在、或(在氯仿中)上,会导致一维聚合物[2{Cu(μ-OAc)()}·1.25MeOH]、[Cu(μ-OAc)()]和[{Cu(μ-OAc)()}·0.2CHCl]的组装。在所有化合物中,3,2':6',3''-tpy单元仅通过外部吡啶环配位,但3,2':6',3''-tpy的构象会响应烷氧基尾部长度的变化,从而导致聚合物主链构象以及具有{Cu(μ-OAc)}桨轮连接体的链在晶格中的堆积发生变化。