Suppr超能文献

0至18岁儿童及青少年的印度生长参考标准——两种方法的比较

Indian Growth References from 0-18-Year-Old children and Adolescents - A Comparison of Two Methods.

作者信息

Khadilkar Vaman, Khadilkar Anuradha V, Kajale Neha

机构信息

Department of Pediatric Growth and Endocrine, Hirabai Cowasji Jehangir Medical Research Institute, Pune, Maharashtra, India.

出版信息

Indian J Endocrinol Metab. 2019 Nov-Dec;23(6):635-644. doi: 10.4103/ijem.IJEM_555_19.

Abstract

BACKGROUND AND AIMS

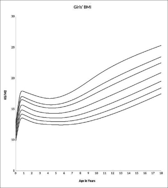
For updating growth references, large datasets are usually required; collection of these data are expensive and cumbersome. Using a combination of regression equations, Preece Baines model and global LMS values, synthetic growth references for the target population can be generated. The objective of this study is to compare growth references created from continuous anthropometric data using LMS method versus those created synthetically from anthropometric means at key ages.

METHODS

De-identified data on 46421 children (26037 boys) from 0-18 years of age from several multicentric studies conducted by the authors' group (2007 to 2017) were included in this study; growth references were constructed using the LMS method. For the production of synthetic references, arithmetic means of heights and weights at key ages were used and global LMS values were used from literature.

RESULTS

There was no difference in the medians for height, weight and BMI between the references created by the two methods. The extreme percentile values for height were similar ( < 0.05). However, the spread of values for weight and BMI was narrower in the synthetic references.

CONCLUSION

Growth references produced from continuous data differ from those produced synthetically using anthropometric means mainly at the extreme centiles for weight and body mass index; synthetic references take into consideration global trends over several decades.

摘要

背景与目的

为更新生长参考标准,通常需要大量数据集;收集这些数据成本高昂且繁琐。通过结合回归方程、普里斯-贝恩斯模型和全球LMS值,可以生成目标人群的合成生长参考标准。本研究的目的是比较使用LMS方法从连续人体测量数据创建的生长参考标准与从关键年龄的人体测量均值综合创建的生长参考标准。

方法

本研究纳入了作者团队在2007年至2017年进行多中心研究中46421名0至18岁儿童(26037名男孩)的去识别数据;使用LMS方法构建生长参考标准。为生成合成参考标准,使用了关键年龄的身高和体重算术均值,并从文献中获取全球LMS值。

结果

两种方法创建的参考标准在身高、体重和BMI中位数方面没有差异。身高的极端百分位数相似(<0.05)。然而,合成参考标准中体重和BMI的值分布范围更窄。

结论

从连续数据产生的生长参考标准与使用人体测量均值综合产生的生长参考标准不同,主要体现在体重和体重指数的极端百分位数上;合成参考标准考虑了几十年的全球趋势。

https://cdn.ncbi.nlm.nih.gov/pmc/blobs/fcd8/6987783/e91aff2086e6/IJEM-23-635-g001.jpg

文献AI研究员

20分钟写一篇综述,助力文献阅读效率提升50倍。

立即体验

用中文搜PubMed

大模型驱动的PubMed中文搜索引擎

马上搜索

文档翻译

学术文献翻译模型,支持多种主流文档格式。

立即体验