Williams Caitlin L, Neu Heather M, Alamneh Yonas A, Reddinger Ryan M, Jacobs Anna C, Singh Shweta, Abu-Taleb Rania, Michel Sarah L J, Zurawski Daniel V, Merrell D Scott
Department of Microbiology & Immunology, Uniformed Services University, Bethesda, MD, United States.
Department of Pharmaceutical Sciences, School of Pharmacy, University of Maryland, Baltimore, Baltimore, MD, United States.
Front Microbiol. 2020 Feb 6;11:16. doi: 10.3389/fmicb.2020.00016. eCollection 2020.
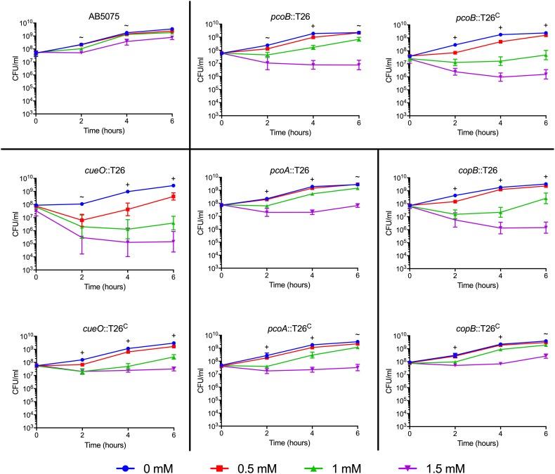
is often highly drug-resistant and causes severe infections in compromised patients. These infections can be life threatening due to limited treatment options. Copper is inherently antimicrobial and increasing evidence indicates that copper containing formulations may serve as non-traditional therapeutics against multidrug-resistant bacteria. We previously reported that is sensitive to high concentrations of copper. To understand copper resistance at the molecular level, herein we identified putative copper resistance components and characterized 21 strains bearing mutations in these genes. Eight of the strains displayed a copper sensitive phenotype (, , ); the putative functions of these proteins include copper transport, oxidation, sequestration, and regulation. Importantly, many of these mutant strains still showed increased sensitivity to copper while in a biofilm. Inductively coupled plasma mass spectrometry revealed that many of these strains had defects in copper mobilization, as the mutant strains accumulated more intracellular copper than the wild-type strain. Given the crucial antimicrobial role of copper-mediated killing employed by the immune system, virulence of these mutant strains was investigated in ; many of the mutant strains were attenuated. Finally, the and strains were also investigated in the murine pneumonia model; both were found to be important for full virulence. Thus, copper possesses antimicrobial activity against multidrug-resistant , and copper sensitivity is further increased when copper homeostasis mechanisms are interrupted. Importantly, these proteins are crucial for full virulence of and may represent novel drug targets.
通常具有高度耐药性,并在免疫功能低下的患者中引起严重感染。由于治疗选择有限,这些感染可能危及生命。铜具有内在的抗菌特性,越来越多的证据表明含铜制剂可作为对抗多重耐药菌的非传统疗法。我们之前报道过[具体细菌名称]对高浓度铜敏感。为了在分子水平上了解[具体细菌名称]的铜抗性,在此我们鉴定了假定的铜抗性成分,并对21株在这些基因中携带突变的菌株进行了表征。其中8株菌株表现出铜敏感表型([具体菌株名称1]、[具体菌株名称2]、[具体菌株名称3]);这些蛋白质的假定功能包括铜转运、氧化、螯合和调节。重要的是,许多这些突变菌株在形成生物膜时对铜仍表现出更高的敏感性。电感耦合等离子体质谱分析表明,许多这些菌株在铜动员方面存在缺陷,因为突变菌株比野生型菌株积累了更多的细胞内铜。鉴于免疫系统利用铜介导的杀伤作用具有关键的抗菌作用,我们在[具体实验模型]中研究了这些突变菌株的毒力;许多突变菌株的毒力减弱。最后,我们在小鼠肺炎模型中也研究了[具体菌株名称4]和[具体菌株名称5]菌株;发现两者对于完全毒力都很重要。因此,铜对多重耐药的[具体细菌名称]具有抗菌活性,当铜稳态机制被破坏时,铜敏感性会进一步增加。重要的是,这些蛋白质对于[具体细菌名称]的完全毒力至关重要,可能代表新的药物靶点。