Upton Daniel J, McQueen-Mason Simon J, Wood A Jamie
1Department of Biology, University of York, Wentworth Way, York, YO10 5DD UK.
2Department of Mathematics, University of York, Heslington, York, YO10 5DD UK.
Biotechnol Biofuels. 2020 Feb 24;13:27. doi: 10.1186/s13068-020-01678-z. eCollection 2020.
The fungus r is an important industrial organism for citric acid fermentation; one of the most efficient biotechnological processes. Previously we introduced a dynamic model that captures this process in the industrially relevant batch fermentation setting, providing a more accurate predictive platform to guide targeted engineering. In this article we exploit this dynamic modelling framework, coupled with a robust genetic algorithm for the in silico evolution of organic acid production, to provide solutions to complex evolutionary goals involving a multiplicity of targets and beyond the reach of simple Boolean gene deletions. We base this work on the latest metabolic models of the parent citric acid producing strain ATCC1015 dedicated to organic acid production with the required exhaustive genomic coverage needed to perform exploratory in silico evolution.
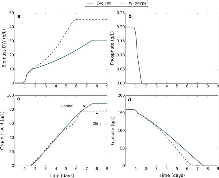
With the use of our informed evolutionary framework, we demonstrate targeted changes that induce a complete switch of acid output from citric to numerous different commercially valuable target organic acids including succinic acid. We highlight the key changes in flux patterns that occur in each case, suggesting potentially valuable targets for engineering. We also show that optimum acid productivity is achieved through a balance of organic acid and biomass production, requiring finely tuned flux constraints that give a growth rate optimal for productivity.
This study shows how a genome-scale metabolic model can be integrated with dynamic modelling and metaheuristic algorithms to provide solutions to complex metabolic engineering goals of industrial importance. This framework for in silico guided engineering, based on the dynamic batch growth relevant to industrial processes, offers considerable potential for future endeavours focused on the engineering of organisms to produce valuable products.
真菌r是柠檬酸发酵的重要工业生物体,柠檬酸发酵是最有效的生物技术过程之一。此前我们引入了一个动态模型,该模型在工业相关的分批发酵环境中捕捉这一过程,提供了一个更准确的预测平台来指导定向工程。在本文中,我们利用这个动态建模框架,结合一种强大的遗传算法进行有机酸生产的计算机模拟进化,以解决涉及多个目标且超出简单布尔基因删除范围的复杂进化目标。我们的工作基于产柠檬酸亲本菌株ATCC1015的最新代谢模型,该模型致力于有机酸生产,具有进行探索性计算机模拟进化所需的详尽基因组覆盖范围。
通过使用我们的智能进化框架,我们展示了诱导酸输出从柠檬酸完全转变为多种不同商业上有价值的目标有机酸(包括琥珀酸)的定向变化。我们突出了每种情况下通量模式的关键变化,暗示了潜在有价值的工程靶点。我们还表明,通过有机酸和生物质生产的平衡可实现最佳酸生产率,这需要精细调整通量约束,以给出对生产率而言最优的生长速率。
本研究展示了如何将基因组规模代谢模型与动态建模和元启发式算法相结合,以解决具有工业重要性的复杂代谢工程目标。这个基于与工业过程相关的动态分批生长的计算机模拟指导工程框架,为未来致力于工程改造生物体以生产有价值产品的努力提供了巨大潜力。