Suppr超能文献

可溶性肿瘤坏死因子配体诱导凋亡(sTRAIL)和骨保护素(OPG)在卵巢癌患者血清中参与调节凋亡受体通路的浓度变化-参与发病机制或可能的临床应用?

Changes in the Concentration of Markers Participating in the Regulation of the Apoptosis Receptor Pathway Involving Soluble Tumour Necrosis Factor Ligand inducing Apoptosis (sTRAIL) and Osteoprotegerin (OPG) in the Serum of Women with Ovarian Cancer-Participation in Pathogenesis or a Possible Clinical Use?

机构信息

Department of Immunology and Serology, Faculty of Pharmaceutical Sciences in Sosnowiec, Medical University of Silesia, 40-055 Katowice, Poland.

出版信息

Cells. 2020 Mar 4;9(3):612. doi: 10.3390/cells9030612.

Abstract

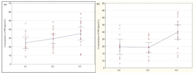
Due to the ability to selectively induce apoptosis in cancer cells, the most interesting target for clinical research is the tumour necrosis factor ligand inducing apoptosis (TRAIL), which binds specific receptors, including osteoprotegerin (OPG). The aim of the study was to analyse the concentration of soluble TRAIL (sTRAIL) and OPG in the serum of women with serous or mucinous ovarian cancer, taking into account different levels of cancer histological differentiation. The group included 97 women with the diagnosed and . Concentrations of parameters were measured by ELISA. Analysis of the obtained results showed a statistically significantly higher concentration of sTRAIL and OPG in the serum of women with ovarian serous and mucinous cancer compared to the control group ( < 0.0001). Statistical significance was found between sTRAIL and OPG concentration in G1 and G3 serous cancer ( < 0.01) and in OPG mucinous cancer between G1 and G3 ( < 0.01) and G2 and G3 ( < 0.01). An important role in the pathogenesis of ovarian cancer is played by disorders of the apoptosis process involving the sTRAIL/OPG system, which are associated with the histological type and the degree of histological differentiation of the tumour. Determining the concentration of tested parameters in combination with other markers may be useful in the future in the diagnosis of ovarian cancer, but that requires further research.

摘要

由于能够选择性地诱导癌细胞凋亡,最受临床研究关注的目标是肿瘤坏死因子配体诱导凋亡(TRAIL),它与特定的受体结合,包括骨保护素(OPG)。本研究的目的是分析血清中可溶性 TRAIL(sTRAIL)和 OPG 在患有浆液性或黏液性卵巢癌的女性中的浓度,同时考虑到癌症组织学分化的不同水平。该组包括 97 名患有确诊浆液性或黏液性卵巢癌的女性。通过 ELISA 测量参数的浓度。对获得的结果进行分析表明,与对照组相比,患有浆液性和黏液性卵巢癌的女性血清中 sTRAIL 和 OPG 的浓度显着更高(<0.0001)。在 G1 和 G3 浆液性癌症中发现 sTRAIL 和 OPG 浓度之间存在统计学显着差异(<0.01),在 G1 和 G3 黏液性癌症以及 G2 和 G3 黏液性癌症中发现 OPG 之间存在统计学显着差异(<0.01)。sTRAIL/OPG 系统涉及凋亡过程的紊乱在卵巢癌的发病机制中起着重要作用,这与肿瘤的组织学类型和组织学分化程度有关。结合其他标志物确定测试参数的浓度可能对未来卵巢癌的诊断有用,但这需要进一步的研究。

https://cdn.ncbi.nlm.nih.gov/pmc/blobs/0dae/7140464/fe8e0c95e880/cells-09-00612-g001.jpg

文献检索

告别复杂PubMed语法,用中文像聊天一样搜索,搜遍4000万医学文献。AI智能推荐,让科研检索更轻松。

立即免费搜索

文件翻译

保留排版,准确专业,支持PDF/Word/PPT等文件格式,支持 12+语言互译。

免费翻译文档

深度研究

AI帮你快速写综述,25分钟生成高质量综述,智能提取关键信息,辅助科研写作。

立即免费体验