• 文献检索
  • 文档翻译
  • 深度研究
  • 学术资讯
  • Suppr Zotero 插件Zotero 插件
  • 邀请有礼
  • 套餐&价格
  • 历史记录
应用&插件
Suppr Zotero 插件Zotero 插件浏览器插件Mac 客户端Windows 客户端微信小程序
定价
高级版会员购买积分包购买API积分包
服务
文献检索文档翻译深度研究API 文档MCP 服务
关于我们
关于 Suppr公司介绍联系我们用户协议隐私条款
关注我们

Suppr 超能文献

核心技术专利:CN118964589B侵权必究
粤ICP备2023148730 号-1Suppr @ 2026

文献检索

告别复杂PubMed语法,用中文像聊天一样搜索,搜遍4000万医学文献。AI智能推荐,让科研检索更轻松。

立即免费搜索

文件翻译

保留排版,准确专业,支持PDF/Word/PPT等文件格式,支持 12+语言互译。

免费翻译文档

深度研究

AI帮你快速写综述,25分钟生成高质量综述,智能提取关键信息,辅助科研写作。

立即免费体验

软体动物水解产物和提取物的抗自由基活性及其在脂质稳定化中的实际应用

Antiradical Activity of Hydrolysates and Extracts from Mollusk and Practical Application to the Stabilization of Lipids.

作者信息

Tabakaeva O V, Piekoszewski W, Kalenik T K, Maximova S N, Tabakaev A V, Poleshyk D V, Proniewicz L

机构信息

Department of Food Science and Technology, School of Biomedicine, Far Eastern Federal University, 690000 Vladivostok, Russia.

Department of Analytical Chemistry, Faculty of Chemistry, Jagiellonian University, 30-386 Krakow, Poland.

出版信息

Foods. 2020 Mar 7;9(3):304. doi: 10.3390/foods9030304.

DOI:10.3390/foods9030304
PMID:32156098
原文链接:https://pmc.ncbi.nlm.nih.gov/articles/PMC7142438/
Abstract

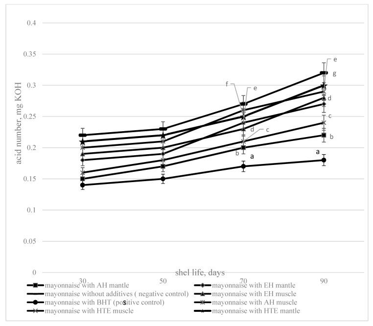
The antiradical properties of hydrolysates and hydrothermal extracts of bivalve mollusks () from the Far Eastern Region of Russia and their influence on lipid oxidation in mayonnaise were investigated. The radical binding activity of hydrolysates and extracts of varies from 55% to 89%. The maximum radical-binding activity was observed for acid hydrolysates. The antiradical efficiency of acid hydrolysates is 35%-41% of the BHT (butylhydroxytoluene) index. The antiradical activity depends on the (method of) technological and biotechnological processing of raw materials. Acid and enzymatic hydrolysates and hydrothermal extracts of in mayonnaise slow down the process of oxidation of lipids and hydrolysis of triglycerides. Acid hydrolysates reduce the speed of oxidation and hydrolysis of lipids in mayonnaise more efficiently than the enzymatic hydrolysates.

摘要

对俄罗斯远东地区双壳贝类软体动物的水解产物和水热提取物的抗自由基特性及其对蛋黄酱中脂质氧化的影响进行了研究。双壳贝类软体动物水解产物和提取物的自由基结合活性在55%至89%之间。酸性水解产物的自由基结合活性最高。酸性水解产物的抗自由基效率为丁基羟基甲苯(BHT)指数的35%-41%。抗自由基活性取决于原材料的工艺和生物技术加工(方法)。蛋黄酱中双壳贝类软体动物的酸性和酶解水解产物以及水热提取物可减缓脂质氧化和甘油三酯水解的过程。酸性水解产物比酶解水解产物更有效地降低了蛋黄酱中脂质氧化和水解的速度。

https://cdn.ncbi.nlm.nih.gov/pmc/blobs/8dee/7142438/f226ea0f4dc2/foods-09-00304-g004.jpg
https://cdn.ncbi.nlm.nih.gov/pmc/blobs/8dee/7142438/ad713dddf58d/foods-09-00304-g001.jpg
https://cdn.ncbi.nlm.nih.gov/pmc/blobs/8dee/7142438/c481224a4aa7/foods-09-00304-g003.jpg
https://cdn.ncbi.nlm.nih.gov/pmc/blobs/8dee/7142438/f226ea0f4dc2/foods-09-00304-g004.jpg
https://cdn.ncbi.nlm.nih.gov/pmc/blobs/8dee/7142438/ad713dddf58d/foods-09-00304-g001.jpg
https://cdn.ncbi.nlm.nih.gov/pmc/blobs/8dee/7142438/c481224a4aa7/foods-09-00304-g003.jpg
https://cdn.ncbi.nlm.nih.gov/pmc/blobs/8dee/7142438/f226ea0f4dc2/foods-09-00304-g004.jpg

相似文献

1
Antiradical Activity of Hydrolysates and Extracts from Mollusk and Practical Application to the Stabilization of Lipids.软体动物水解产物和提取物的抗自由基活性及其在脂质稳定化中的实际应用
Foods. 2020 Mar 7;9(3):304. doi: 10.3390/foods9030304.
2
[Anti-radical activity of products of processing of holothurian Cucumaria japonica and their practical application for lipid stabilization].[刺参(Cucumaria japonica)加工产物的抗自由基活性及其在脂质稳定化中的实际应用]
Vopr Pitan. 2015;84(1):66-72.
3
Stability of Antiradical Activity of Protein Extracts and Hydrolysates from Dry-Cured Pork Loins with Probiotic Strains of LAB.干腌猪肉里脊中添加益生菌 LAB 后蛋白提取物和水解物的自由基清除活性稳定性研究。
Nutrients. 2018 Apr 22;10(4):521. doi: 10.3390/nu10040521.
4
Fish Scale Valorization by Hydrothermal Pretreatment Followed by Enzymatic Hydrolysis for Gelatin Hydrolysate Production.水热预处理结合酶解从鱼鳞中制备明胶水解产物。
Molecules. 2019 Aug 19;24(16):2998. doi: 10.3390/molecules24162998.
5
The screening analysis of antiradical activity of some plant extracts.某些植物提取物的抗自由基活性筛选分析
Postepy Hig Med Dosw (Online). 2006;60:563-70.
6
Investigation of antiradical potential of different kinds of teas and extracts from these teas using antiradical activity units (TAU).使用抗自由基活性单位(TAU)对不同种类茶叶及其提取物的抗自由基潜力进行研究。
Postepy Hig Med Dosw (Online). 2011 Nov 30;65:796-803. doi: 10.5604/17322693.968073.
7
Antiradical activities and phytochemical compounds of firethorn (Pyracantha coccinea) fruit extracts.火棘(Pyracantha coccinea)果实提取物的抗自由基活性及植物化学化合物
Nat Prod Res. 2014;28(20):1789-94. doi: 10.1080/14786419.2014.942304. Epub 2014 Aug 7.
8
Influence of enzymatic hydrolysis and enzyme type on the nutritional and antioxidant properties of pumpkin meal hydrolysates.酶解和酶种类对南瓜粉水解产物的营养和抗氧化特性的影响。
Food Funct. 2013 Apr 30;4(5):811-20. doi: 10.1039/c3fo30347k.
9
[Antiradical properties of essential oils and extracts from clove bud and pimento].[丁香花蕾和多香果精油及提取物的抗自由基特性]
Prikl Biokhim Mikrobiol. 2015 Jan-Feb;51(1):99-104. doi: 10.7868/s0555109915010092.
10
Changes in the amino acid profiles and free radical scavenging activities of Tenebrio molitor larvae following enzymatic hydrolysis.酶解后黄粉虫幼虫的氨基酸组成和自由基清除活性的变化。
PLoS One. 2018 May 4;13(5):e0196218. doi: 10.1371/journal.pone.0196218. eCollection 2018.

引用本文的文献

1
Introduction to the Special Issue: "Advance in Recovery and Application of Bioactive Compounds from Seafood".特刊介绍:“海产品生物活性化合物的提取与应用进展”
Foods. 2021 Jan 28;10(2):266. doi: 10.3390/foods10020266.
2
Changes in 3-, 2-Monochloropropandiol and Glycidyl Esters during a Conventional Baking System with Addition of Antioxidants.在添加抗氧化剂的传统烘焙体系中3-氯-1,2-丙二醇、2-氯-1,2-丙二醇和缩水甘油酯的变化
Foods. 2020 Jun 4;9(6):739. doi: 10.3390/foods9060739.

本文引用的文献

1
Purification and Characterization of Antioxidant Peptides Derived from Protein Hydrolysate of the Marine Bivalve Mollusk .海洋双壳贝类蛋白水解物抗氧化肽的纯化与特性研究
Mar Drugs. 2019 Apr 27;17(5):251. doi: 10.3390/md17050251.
2
Nutritional composition and total collagen content of two commercially important edible bivalve molluscs from the Sea of Japan coast.来自日本海沿岸的两种具有重要商业价值的可食用双壳贝类软体动物的营养成分和总胶原蛋白含量。
J Food Sci Technol. 2018 Dec;55(12):4877-4886. doi: 10.1007/s13197-018-3422-5. Epub 2018 Oct 1.
3
Antibacterial and antioxidant activities for natural and synthetic dual-active compounds.
天然与合成双重活性化合物的抗菌与抗氧化活性。
Eur J Med Chem. 2018 Oct 5;158:91-105. doi: 10.1016/j.ejmech.2018.09.009. Epub 2018 Sep 5.
4
Identification and In Silico Prediction of Anticoagulant Peptides from the Enzymatic Hydrolysates of Proteins.从蛋白质的酶解产物中鉴定和计算机预测抗凝肽。
Int J Mol Sci. 2018 Jul 19;19(7):2100. doi: 10.3390/ijms19072100.
5
Protective Effects and Mechanism of Meretrix meretrix Oligopeptides against Nonalcoholic Fatty Liver Disease.文蛤寡肽对非酒精性脂肪性肝病的保护作用及机制
Mar Drugs. 2017 Feb 14;15(2):31. doi: 10.3390/md15020031.
6
New sterols with anti-inflammatory potentials against cyclooxygenase-2 and 5-lipoxygenase from Paphia malabarica.来自印度双带蛤的具有抗环氧化酶-2和5-脂氧合酶抗炎潜力的新型甾醇。
Nat Prod Res. 2017 Jun;31(11):1286-1298. doi: 10.1080/14786419.2016.1242001. Epub 2016 Oct 13.
7
The antioxidant potential of the New Zealand surf clams.新西兰冲浪蛤的抗氧化潜力。
Food Chem. 2016 Aug 1;204:141-149. doi: 10.1016/j.foodchem.2016.02.120. Epub 2016 Feb 18.
8
Evaluating the potential of natural curcumin for oxidative stability of soybean oil.评估天然姜黄素对大豆油氧化稳定性的潜在作用。
Nat Prod Res. 2014;28(17):1375-8. doi: 10.1080/14786419.2014.901319. Epub 2014 Apr 6.
9
Oxidative stability and chemical safety of mayonnaise enriched with grape seed extract.添加葡萄籽油提取物的蛋黄酱的氧化稳定性和化学安全性。
Food Funct. 2013 Nov;4(11):1647-53. doi: 10.1039/c3fo60204d.
10
Chemical compositions and nutritional value of Asian hard clam (Meretrix lusoria) from the coast of Andaman Sea.亚洲帘蛤(Meretrix lusoria)的化学成分和营养价值。来自安达曼海海岸。
Food Chem. 2013 Dec 15;141(4):4138-45. doi: 10.1016/j.foodchem.2013.07.001. Epub 2013 Jul 8.