Suppr超能文献

2013-2017 年意大利新生儿重症监护病房中医疗保健相关性感染的趋势、风险因素和结局。

Trends, risk factors and outcomes of healthcare-associated infections in a neonatal intensive care unit in Italy during 2013-2017.

机构信息

Department of Public Health, University of Naples "Federico II", Via S. Pansini n.5, 80131, Naples, Italy.

Division of Neonatology, Department of Medical Translational Sciences, University of Naples "Federico II", Naples, Italy.

出版信息

Ital J Pediatr. 2020 Mar 18;46(1):34. doi: 10.1186/s13052-020-0799-3.

Abstract

BACKGROUND

Healthcare-associated infections (HAIs) occur frequently in intensive care units (NICUs). The aim of this study was to analyze the results of surveillance of HAIs in a III level NICU in Naples, Italy during 2013-2017 and to compare with those obtained during 2006-2010.

METHODS

The surveillance included 1265 neonates of all birth weight (BW) classes with > 2 days NICU stay. Infections were defined using standard Centers for Disease Control and Prevention definitions adapted to neonatal pathology.

RESULTS

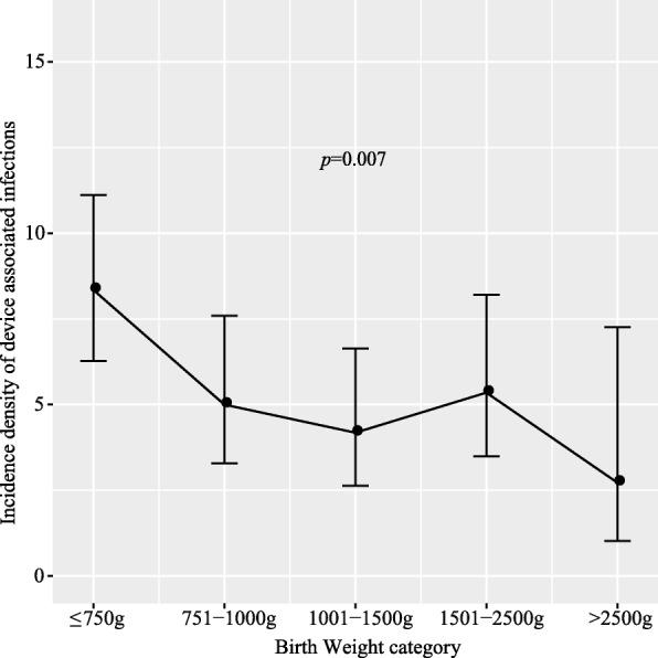
A total of 125 HAIs were registered during 2013-2017 with a frequency of 9.9% and an incidence density of 3.2 per 1000 patient days. HAIs occurred in all BW classes with a decreasing trend from the lowest to the highest BW classes (p = < 0.001). Central line-associated blood stream infection (CLABSI) was the most frequent infection (69.6%), followed by ventilator associated pneumonia (VAP) (20%), urinary tract infection (UTI) (8.8%) and necrotizing enterocolitis (NEC) (1.6%). Also, CLABSI and VAP incidence density decreased from lower to highest BW classes showing a significant trend (p = 0.007). Most frequent pathogens responsible for CLABSI were: Coagulase-negative staphylococci (CONS) (25.3%), Candida parapsilosis (21.8%), Pseudomonas aeruginosa (5.7), Escherichia coli and Klebsiella pneumoniae (6.8%). No microbiological diagnosis was achieved for 20.7% of CLABSI. Pseudomonas aeruginosa (28%), Stenotrophomonas maltophilia (20%), and CONS (20%) were the most frequent pathogens responsible for VAP. CLABSI incidence density showed no differences between 2006 and 2010 and 2013-2017, while VAP incidence density for the 751-100 g BW class was higher during 2006-2010 than during 2013-2017 (p = 0.006). A higher incidence of the CLABSI caused by Gram positive bacteria (p = 0.002) or by undetermined etiology (p = 0.01) was observed during 2013-2017 than during 2006-2010, while a significant lower incidence of VAP caused by Gram-negative bacteria was found during 2013-2017 than during 2006-2010 (p = 0.007).

CONCLUSION

HAIs in the NICU developed in all BW classes with a decreasing trend from the lowest to the highest BW classes in both study periods. Differences in the aetiology of CLABSI and VAP were found between the two study periods. This reinforces the importance of HAIs surveillance protocol in the NICU, which monitors microbiological isolates and use of medical devices for all BW classes of neonates.

摘要

背景

医疗保健相关感染(HAIs)在重症监护病房(NICUs)中经常发生。本研究的目的是分析意大利那不勒斯三级 NICU 2013-2017 年 HAI 监测结果,并与 2006-2010 年的监测结果进行比较。

方法

监测包括所有出生体重(BW)类别中 > 2 天 NICU 住院的 1265 名新生儿。使用适应新生儿病理学的美国疾病控制与预防中心标准定义来定义感染。

结果

2013-2017 年共登记了 125 例 HAI,发病率为 9.9%,发病率密度为每 1000 个患者日 3.2 例。HAIs 发生在所有 BW 类别中,从最低到最高 BW 类别呈下降趋势(p < 0.001)。中心静脉导管相关血流感染(CLABSI)是最常见的感染(69.6%),其次是呼吸机相关性肺炎(VAP)(20%)、尿路感染(UTI)(8.8%)和坏死性小肠结肠炎(NEC)(1.6%)。此外,CLABSI 和 VAP 的发病率密度从较低到较高 BW 类别呈下降趋势,具有显著的趋势(p = 0.007)。导致 CLABSI 的最常见病原体为:凝固酶阴性葡萄球菌(CONS)(25.3%)、近平滑假丝酵母(21.8%)、铜绿假单胞菌(5.7%)、大肠埃希菌和肺炎克雷伯菌(6.8%)。20.7%的 CLABSI 未获得微生物学诊断。铜绿假单胞菌(28%)、嗜麦芽窄食单胞菌(20%)和 CONS(20%)是导致 VAP 的最常见病原体。CLABSI 的发病率密度在 2006 年和 2010 年与 2013-2017 年之间没有差异,而 751-100g BW 类别的 VAP 发病率密度在 2006-2010 年高于 2013-2017 年(p = 0.006)。与 2006-2010 年相比,2013-2017 年期间观察到 CLABSI 由革兰氏阳性菌引起(p = 0.002)或由未确定病因引起(p = 0.01)的发生率更高,而在 2013-2017 年期间观察到由革兰氏阴性菌引起的 VAP 发生率显著更低(p = 0.007)。

结论

NICU 中的 HAI 发生在所有 BW 类别中,从最低到最高 BW 类别呈下降趋势。两个研究期间发现 CLABSI 和 VAP 的病因存在差异。这加强了对所有 BW 类别新生儿使用微生物分离物和医疗设备进行 NICU HAI 监测方案的重要性。

https://cdn.ncbi.nlm.nih.gov/pmc/blobs/3c30/7079437/cb2fbe6b0584/13052_2020_799_Fig1_HTML.jpg

文献AI研究员

20分钟写一篇综述,助力文献阅读效率提升50倍。

立即体验

用中文搜PubMed

大模型驱动的PubMed中文搜索引擎

马上搜索

文档翻译

学术文献翻译模型,支持多种主流文档格式。

立即体验