Suppr超能文献

自报听力损失问题为遗传研究提供了良好的衡量标准:来自英国生物库的多基因风险评分分析。

Self-reported hearing loss questions provide a good measure for genetic studies: a polygenic risk score analysis from UK Biobank.

机构信息

Department of Anatomy and Anthropology, Sackler Faculty of Medicine, Tel Aviv University, Tel Aviv, Israel.

Department of Epidemiology and Preventive Medicine, Sackler Faculty of Medicine, Tel Aviv University, Tel Aviv, Israel.

出版信息

Eur J Hum Genet. 2020 Aug;28(8):1056-1065. doi: 10.1038/s41431-020-0603-2. Epub 2020 Mar 20.

Abstract

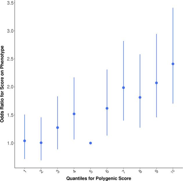
Age-related hearing impairment (ARHI) is very common in older adults and has major impact on quality of life. The heritability of ARHI has been estimated to be around 50%. The present study aimed to estimate heritability and environmental contributions to liability of ARHI and the extent to which a polygenic risk score (PRS) derived from a recent genome-wide association study of questionnaire items regarding hearing loss using the UK Biobank is predictive of hearing loss in other samples. We examined (1) a sample from TwinsUK who have had hearing ability measured by pure-tone audiogram and the speech-to-noise ratio test as well as questionnaire measures that are comparable with the UK Biobank questionnaire items and (2) European and non-European samples from the UK Biobank which were not part of the original GWAS. Results indicated that the questionnaire items were over 50% heritable in TwinsUK and comparable with the objective hearing measures. In addition, we found very high genetic correlation (0.30-0.84) between the questionnaire responses and objective hearing measures in the TwinsUK sample. Finally, PRS computed from weighted UK Biobank GWAS results were predictive of both questionnaire and objective measures of hearing loss in the TwinsUK sample, as well as questionnaire-measured hearing loss in Europeans but not non-European subpopulations. These results demonstrate the utility of questionnaire-based methods in genetic association studies of hearing loss in adults and highlight the differences in genetic predisposition to ARHI by ethnic background.

摘要

年龄相关性听力障碍(ARHI)在老年人中非常常见,对生活质量有重大影响。ARHI 的遗传率估计在 50%左右。本研究旨在估计 ARHI 的遗传率和环境贡献对听力损失的易感性,以及使用英国生物库中关于听力损失的问卷项目的全基因组关联研究得出的多基因风险评分(PRS)在多大程度上可以预测其他样本中的听力损失。我们检查了(1)来自 TwinsUK 的样本,这些样本通过纯音听力图和言语噪声比测试测量了听力能力,并且问卷测量与英国生物库的问卷项目相当,以及(2)英国生物库中的欧洲和非欧洲样本,这些样本不是原始 GWAS 的一部分。结果表明,问卷项目在 TwinsUK 中的遗传率超过 50%,与客观听力测量相当。此外,我们还发现,在 TwinsUK 样本中,问卷回答与客观听力测量之间存在非常高的遗传相关性(0.30-0.84)。最后,从加权英国生物库 GWAS 结果计算出的 PRS 可预测 TwinsUK 样本中的问卷和客观听力损失测量值,以及欧洲人的问卷测量听力损失,但不能预测非欧洲亚群的听力损失。这些结果表明,基于问卷的方法在成人听力损失的遗传关联研究中是有用的,并强调了遗传易感性在不同种族背景下的差异。

https://cdn.ncbi.nlm.nih.gov/pmc/blobs/9b8a/7382483/dce5c08bf91d/41431_2020_603_Fig1_HTML.jpg

文献检索

告别复杂PubMed语法,用中文像聊天一样搜索,搜遍4000万医学文献。AI智能推荐,让科研检索更轻松。

立即免费搜索

文件翻译

保留排版,准确专业,支持PDF/Word/PPT等文件格式,支持 12+语言互译。

免费翻译文档

深度研究

AI帮你快速写综述,25分钟生成高质量综述,智能提取关键信息,辅助科研写作。

立即免费体验