• 文献检索
  • 文档翻译
  • 深度研究
  • 学术资讯
  • Suppr Zotero 插件Zotero 插件
  • 邀请有礼
  • 套餐&价格
  • 历史记录
应用&插件
Suppr Zotero 插件Zotero 插件浏览器插件Mac 客户端Windows 客户端微信小程序
定价
高级版会员购买积分包购买API积分包
服务
文献检索文档翻译深度研究API 文档MCP 服务
关于我们
关于 Suppr公司介绍联系我们用户协议隐私条款
关注我们

Suppr 超能文献

核心技术专利:CN118964589B侵权必究
粤ICP备2023148730 号-1Suppr @ 2026

文献检索

告别复杂PubMed语法,用中文像聊天一样搜索,搜遍4000万医学文献。AI智能推荐,让科研检索更轻松。

立即免费搜索

文件翻译

保留排版,准确专业,支持PDF/Word/PPT等文件格式,支持 12+语言互译。

免费翻译文档

深度研究

AI帮你快速写综述,25分钟生成高质量综述,智能提取关键信息,辅助科研写作。

立即免费体验

降钙素原指数对行急诊腹部手术创伤患者的死亡率预测:一项病例对照研究。

Delta neutrophil index for predicting mortality in trauma patients who underwent emergent abdominal surgery: A case controlled study.

机构信息

Department of Surgery, Yonsei University Wonju College of Medicine, Wonju, South Korea.

Department of Surgery, Saidabad Clinic, Dhaka, Bangladesh.

出版信息

PLoS One. 2020 Mar 23;15(3):e0230149. doi: 10.1371/journal.pone.0230149. eCollection 2020.

DOI:10.1371/journal.pone.0230149
PMID:32203541
原文链接:https://pmc.ncbi.nlm.nih.gov/articles/PMC7089524/
Abstract

BACKGROUND

Delta neutrophil index (DNI) can be used as a biomarker for infection to predict patient outcomes. We aimed to investigate the relationship between DNI and clinical outcomes in trauma patients who underwent abdominal surgery.

MATERIALS AND METHODS

We retrospectively analyzed injured patients who underwent emergent abdominal surgery in the regional trauma center of Wonju Severance Christian Hospital between March 2016 and May 2018. Patient characteristics, operation type, preoperative and postoperative laboratory findings, and clinical outcomes were evaluated. Logistic regression analysis was performed for risk factors associated with mortality.

RESULTS

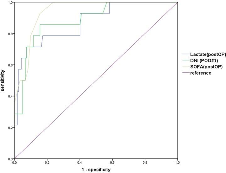
Overall, 169 patients (mean age, 53.8 years; 66.3% male) were enrolled in this study, of which 19 (11.2%) died. The median injury severity score (ISS) was 12. The non-survivors had a significantly higher ISS [25(9-50) vs. 10(1-50), p<0.001] and serum lactate level (9.00±4.10 vs. 3.04±2.23, p<0.001) and more frequent shock (63.2% vs 23.3%, p<0.001) and solid organ injury (52.6% vs. 25.3%, p = 0.013) than the survivors. There were significant differences in postoperative DNI between the two groups (p<0.009 immediate post-operation, p = 0.001 on postoperative day 1 [POD1], and p = 0.013 on POD2). Logistic regression analysis showed that the independent factors associated with mortality were postoperative lactate level (odds ratio [OR] 1.926, 95% confidence interval [CI] 1.101-3.089, p = 0.007), postoperative sequential organ failure assessment score (OR 1.593, 95% CI 1.160-2.187, p = 0.004), and DNI on POD1 (OR 1.118, 95% CI 1.028-1.215, p = 0.009). The receiver operating characteristics curve demonstrated that the area under the curve of DNI on POD1 was 0.887 (cut-off level: 7.1%, sensitivity 85.7%, and specificity 84.4%).

CONCLUSIONS

Postoperative DNI may be a useful biomarker to predict mortality in trauma patients who underwent emergent abdominal surgery.

摘要

背景

中性粒细胞 delta 指数(DNI)可用作感染的生物标志物,以预测患者的预后。我们旨在探讨创伤患者腹部手术后 DNI 与临床结局的关系。

材料和方法

我们回顾性分析了 2016 年 3 月至 2018 年 5 月在沃努基督医院地区创伤中心接受紧急腹部手术的创伤患者。评估患者特征、手术类型、术前和术后实验室检查结果以及临床结局。对与死亡率相关的危险因素进行 logistic 回归分析。

结果

总体而言,本研究共纳入 169 例患者(平均年龄 53.8 岁;66.3%为男性),其中 19 例(11.2%)死亡。中位损伤严重程度评分(ISS)为 12。非幸存者的 ISS 显著更高[25(9-50)比 10(1-50),p<0.001],血清乳酸水平更高[9.00±4.10 比 3.04±2.23,p<0.001],休克更频繁[63.2%比 23.3%,p<0.001],实体器官损伤更常见[52.6%比 25.3%,p=0.013]。两组术后 DNI 差异有统计学意义(p<0.009 即刻术后,p=0.001 术后第 1 天[POD1],p=0.013 术后第 2 天[POD2])。Logistic 回归分析显示,与死亡率相关的独立因素是术后乳酸水平(优势比[OR]1.926,95%置信区间[CI]1.101-3.089,p=0.007)、术后序贯器官衰竭评估评分(OR 1.593,95%CI 1.160-2.187,p=0.004)和 POD1 的 DNI(OR 1.118,95%CI 1.028-1.215,p=0.009)。受试者工作特征曲线表明,POD1 的 DNI 曲线下面积为 0.887(截断值:7.1%,灵敏度 85.7%,特异性 84.4%)。

结论

术后 DNI 可能是预测创伤患者接受紧急腹部手术后死亡率的有用生物标志物。

https://cdn.ncbi.nlm.nih.gov/pmc/blobs/c01f/7089524/cead34e0ed0c/pone.0230149.g003.jpg
https://cdn.ncbi.nlm.nih.gov/pmc/blobs/c01f/7089524/7925d130f15a/pone.0230149.g001.jpg
https://cdn.ncbi.nlm.nih.gov/pmc/blobs/c01f/7089524/28ebcb7de229/pone.0230149.g002.jpg
https://cdn.ncbi.nlm.nih.gov/pmc/blobs/c01f/7089524/cead34e0ed0c/pone.0230149.g003.jpg
https://cdn.ncbi.nlm.nih.gov/pmc/blobs/c01f/7089524/7925d130f15a/pone.0230149.g001.jpg
https://cdn.ncbi.nlm.nih.gov/pmc/blobs/c01f/7089524/28ebcb7de229/pone.0230149.g002.jpg
https://cdn.ncbi.nlm.nih.gov/pmc/blobs/c01f/7089524/cead34e0ed0c/pone.0230149.g003.jpg

相似文献

1
Delta neutrophil index for predicting mortality in trauma patients who underwent emergent abdominal surgery: A case controlled study.降钙素原指数对行急诊腹部手术创伤患者的死亡率预测:一项病例对照研究。
PLoS One. 2020 Mar 23;15(3):e0230149. doi: 10.1371/journal.pone.0230149. eCollection 2020.
2
The delta neutrophil index is a prognostic factor for postoperative mortality in patients with sepsis caused by peritonitis.δ中性粒细胞指数是腹膜炎所致脓毒症患者术后死亡率的一个预后因素。
PLoS One. 2017 Aug 1;12(8):e0182325. doi: 10.1371/journal.pone.0182325. eCollection 2017.
3
Delta neutrophil index as a prognostic marker in emergent abdominal surgery.中性粒细胞与淋巴细胞比值作为急诊腹部手术的预后标志物。
J Clin Lab Anal. 2019 Jul;33(6):e22895. doi: 10.1002/jcla.22895. Epub 2019 Apr 15.
4
[A new score system for prediction of death in patients with severe trauma: the value of death warning score].[一种用于预测严重创伤患者死亡的新评分系统:死亡预警评分的价值]
Zhonghua Wei Zhong Bing Ji Jiu Yi Xue. 2015 Nov;27(11):890-4.
5
Delta neutrophil index levels can be a good indicator to predict patients with chronic rhinosinusitis who need surgery.中性粒细胞 delta 指数水平可以作为预测慢性鼻-鼻窦炎患者是否需要手术的一个良好指标。
Ear Nose Throat J. 2024 Jun;103(6):NP360-NP367. doi: 10.1177/01455613211058491. Epub 2021 Nov 24.
6
The delta neutrophil index predicts development of multiple organ dysfunction syndrome and 30-day mortality in trauma patients admitted to an intensive care unit: a retrospective analysis.创伤患者入住重症监护病房后,中性粒细胞 delta 指数可预测多器官功能障碍综合征的发生和 30 天死亡率:一项回顾性分析。
Sci Rep. 2018 Nov 30;8(1):17515. doi: 10.1038/s41598-018-35796-4.
7
Management of cirrhotic patients with blunt abdominal trauma: analysis of risk factor of postoperative death with the Model for End-Stage Liver Disease score.肝硬化合并钝性腹部创伤患者的管理:终末期肝病模型评分分析术后死亡的危险因素。
Injury. 2012 Sep;43(9):1457-61. doi: 10.1016/j.injury.2011.03.057. Epub 2011 Apr 20.
8
Delta neutrophil index as an early predictive marker of severe acute pancreatitis in the emergency department.德尔塔中性粒细胞指数作为急诊科重症急性胰腺炎的早期预测标志物。
United European Gastroenterol J. 2019 May;7(4):488-495. doi: 10.1177/2050640619838359. Epub 2019 Mar 14.
9
Association of Delta Neutrophil Index with the 30-day Mortality in Adult Cardiac Surgical Patients.Delta 中性粒细胞指数与成年心脏外科患者 30 天死亡率的相关性研究。
Int J Med Sci. 2024 Jul 1;21(9):1730-1737. doi: 10.7150/ijms.97400. eCollection 2024.
10
Usefulness of delta neutrophil index as a biomarker to predict postoperative complication in patients who underwent esophagectomy: A case-control study.中性粒细胞与淋巴细胞比值作为预测食管癌患者术后并发症的生物标志物的应用价值:一项病例对照研究。
Medicine (Baltimore). 2021 Dec 23;100(51):e28311. doi: 10.1097/MD.0000000000028311.

引用本文的文献

1
A conformational change of C-reactive protein drives neutrophil extracellular trap formation in inflammation.C反应蛋白的构象变化在炎症中驱动中性粒细胞胞外诱捕网的形成。
BMC Biol. 2025 Jan 7;23(1):4. doi: 10.1186/s12915-024-02093-8.
2
Association of Delta Neutrophil Index with the 30-day Mortality in Adult Cardiac Surgical Patients.Delta 中性粒细胞指数与成年心脏外科患者 30 天死亡率的相关性研究。
Int J Med Sci. 2024 Jul 1;21(9):1730-1737. doi: 10.7150/ijms.97400. eCollection 2024.
3
Finding new indicators for operation and angiographic embolization in blunt renal injury patients: a single-center experience over 13 years.

本文引用的文献

1
The delta neutrophil index predicts development of multiple organ dysfunction syndrome and 30-day mortality in trauma patients admitted to an intensive care unit: a retrospective analysis.创伤患者入住重症监护病房后,中性粒细胞 delta 指数可预测多器官功能障碍综合征的发生和 30 天死亡率:一项回顾性分析。
Sci Rep. 2018 Nov 30;8(1):17515. doi: 10.1038/s41598-018-35796-4.
2
Delta neutrophil index as a promising prognostic marker of emergent surgical intervention for acute diverticulitis in the emergency department.中性粒细胞 delta 指数作为急诊科急性憩室炎紧急手术干预的一种有前景的预后标志物。
PLoS One. 2017 Nov 1;12(11):e0187629. doi: 10.1371/journal.pone.0187629. eCollection 2017.
3
寻找钝性肾损伤患者手术及血管造影栓塞治疗的新指标:一项13年的单中心经验
Ann Surg Treat Res. 2021 Jul;101(1):49-57. doi: 10.4174/astr.2021.101.1.49. Epub 2021 Jun 30.
Value of the Delta Neutrophil Index for Predicting 28-Day Mortality in Patients With Acute Pulmonary Embolism in the Emergency Department.
急诊中中性粒细胞 delta 指数对预测急性肺栓塞 28 天死亡率的价值。
Shock. 2018 Jun;49(6):649-657. doi: 10.1097/SHK.0000000000001027.
4
A Delta Neutrophil Index for the Prediction of Contrast-Induced Nephropathy in Patients With St-Elevation Myocardial Infarction Followed By Percutaneous Coronary Intervention.基于 Delta 中性粒细胞指数预测 ST 段抬高型心肌梗死行经皮冠状动脉介入治疗后对比剂肾病的发生风险
Shock. 2018 Mar;49(3):317-325. doi: 10.1097/SHK.0000000000000957.
5
The delta neutrophil index is a prognostic factor for postoperative mortality in patients with sepsis caused by peritonitis.δ中性粒细胞指数是腹膜炎所致脓毒症患者术后死亡率的一个预后因素。
PLoS One. 2017 Aug 1;12(8):e0182325. doi: 10.1371/journal.pone.0182325. eCollection 2017.
6
Usefulness of the Delta Neutrophil Index to Predict 30-Day Mortality in Patients with Upper Gastrointestinal Bleeding.Delta 中性粒细胞指数对上消化道出血患者 30 天死亡率的预测价值。
Shock. 2017 Oct;48(4):427-435. doi: 10.1097/SHK.0000000000000878.
7
Lactate clearance metrics are not superior to initial lactate in predicting mortality in trauma.在预测创伤患者死亡率方面,乳酸清除率指标并不优于初始乳酸水平。
Eur J Trauma Emerg Surg. 2017 Dec;43(6):841-851. doi: 10.1007/s00068-016-0733-y. Epub 2016 Oct 13.
8
Do lactate levels in the emergency department predict outcome in adult trauma patients? A systematic review.急诊科的乳酸水平能否预测成年创伤患者的预后?一项系统综述。
J Trauma Acute Care Surg. 2016 Sep;81(3):555-66. doi: 10.1097/TA.0000000000001156.
9
Biomarkers (Procalcitonin, C Reactive Protein, and Lactate) as Predictors of Mortality in Surgical Patients with Complicated Intra-Abdominal Infection.生物标志物(降钙素原、C反应蛋白和乳酸)作为复杂腹腔内感染手术患者死亡率的预测指标。
Surg Infect (Larchmt). 2015 Jun;16(3):346-51. doi: 10.1089/sur.2014.178. Epub 2015 May 27.
10
Delta neutrophil index as a promising prognostic marker in out of hospital cardiac arrest.δ中性粒细胞指数作为院外心脏骤停中一个有前景的预后标志物。
PLoS One. 2015 Mar 23;10(3):e0120677. doi: 10.1371/journal.pone.0120677. eCollection 2015.