• 文献检索
  • 文档翻译
  • 深度研究
  • 学术资讯
  • Suppr Zotero 插件Zotero 插件
  • 邀请有礼
  • 套餐&价格
  • 历史记录
应用&插件
Suppr Zotero 插件Zotero 插件浏览器插件Mac 客户端Windows 客户端微信小程序
定价
高级版会员购买积分包购买API积分包
服务
文献检索文档翻译深度研究API 文档MCP 服务
关于我们
关于 Suppr公司介绍联系我们用户协议隐私条款
关注我们

Suppr 超能文献

核心技术专利:CN118964589B侵权必究
粤ICP备2023148730 号-1Suppr @ 2026

文献检索

告别复杂PubMed语法,用中文像聊天一样搜索,搜遍4000万医学文献。AI智能推荐,让科研检索更轻松。

立即免费搜索

文件翻译

保留排版,准确专业,支持PDF/Word/PPT等文件格式,支持 12+语言互译。

免费翻译文档

深度研究

AI帮你快速写综述,25分钟生成高质量综述,智能提取关键信息,辅助科研写作。

立即免费体验

异恶唑和恶唑的时间分辨光电子能谱研究

Time-Resolved Photoelectron Spectroscopy Studies of Isoxazole and Oxazole.

作者信息

Geng Ting, Ehrmaier Johannes, Schalk Oliver, Richings Gareth W, Hansson Tony, Worth Graham, Thomas Richard D

机构信息

Department of Physics, AlbaNova University Centre, Stockholm University, Roslagstullsbacken 21, 106 91 Stockholm, Sweden.

Department of Chemistry, Technical University of Munich, Lichtenbergstr. 4, 85748 Garching, Germany.

出版信息

J Phys Chem A. 2020 May 21;124(20):3984-3992. doi: 10.1021/acs.jpca.9b11788. Epub 2020 May 8.

DOI:10.1021/acs.jpca.9b11788
PMID:32242664
原文链接:https://pmc.ncbi.nlm.nih.gov/articles/PMC7304896/
Abstract

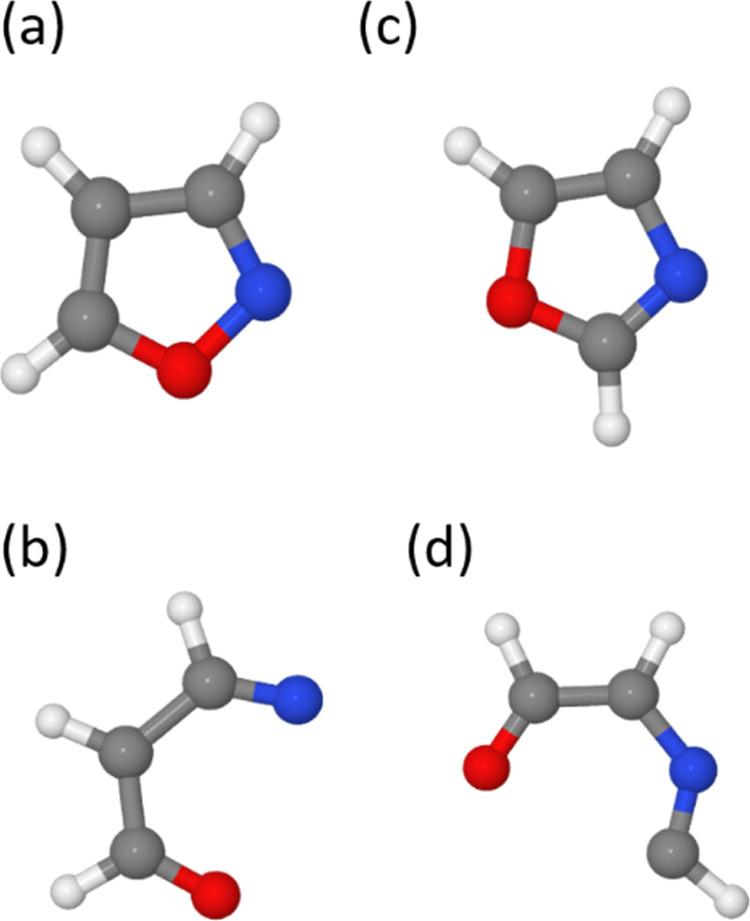
The excited state relaxation pathways of isoxazole and oxazole upon excitation with UV-light were investigated by nonadiabatic ab initio dynamics simulations and time-resolved photoelectron spectroscopy. Excitation of the bright ππ*-state of isoxazole predominantly leads to ring-opening dynamics. Both the initially excited ππ*-state and the dissociative πσ*-state offer a combined barrier-free reaction pathway, such that ring-opening, defined as a distance of more than 2 Å between two neighboring atoms, occurs within 45 fs. For oxazole, in contrast, the excited state dynamics is about twice as slow (85 fs) and the quantum yield for ring-opening is lower. This is caused by a small barrier between the ππ*-state and the πσ*-state along the reaction path, which suppresses direct ring-opening. Theoretical findings are consistent with the measured time-resolved photoelectron spectra, confirming the timescales and the quantum yields for the ring-opening channel. The results indicate that a combination of time-resolved photoelectron spectroscopy and excited state dynamics simulations can explain the dominant reaction pathways for this class of molecules. As a general rule, we suggest that the antibonding σ*-orbital located between the oxygen atom and a neighboring atom of a five-membered heterocyclic system provides a driving force for ring-opening reactions, which is modified by the presence and position of additional nitrogen atoms.

摘要

通过非绝热从头算动力学模拟和时间分辨光电子能谱研究了异恶唑和恶唑在紫外光激发下的激发态弛豫途径。异恶唑的明亮ππ态激发主要导致开环动力学。最初激发的ππ态和解离的πσ态都提供了一条无势垒的联合反应途径,使得开环(定义为两个相邻原子之间的距离超过2 Å)在45 fs内发生。相比之下,对于恶唑,激发态动力学大约慢两倍(85 fs),开环量子产率较低。这是由于沿着反应路径在ππ态和πσ态之间存在一个小势垒,它抑制了直接开环。理论结果与测量的时间分辨光电子能谱一致,证实了开环通道的时间尺度和量子产率。结果表明,时间分辨光电子能谱和激发态动力学模拟相结合可以解释这类分子的主要反应途径。一般来说,我们认为位于五元杂环系统中氧原子和相邻原子之间的反键σ轨道为开环反应提供了驱动力,这会因额外氮原子的存在和位置而改变。

https://cdn.ncbi.nlm.nih.gov/pmc/blobs/170f/7304896/203d121ba517/jp9b11788_0008.jpg
https://cdn.ncbi.nlm.nih.gov/pmc/blobs/170f/7304896/f5383e2109ab/jp9b11788_0001.jpg
https://cdn.ncbi.nlm.nih.gov/pmc/blobs/170f/7304896/5395ce8f9ffd/jp9b11788_0002.jpg
https://cdn.ncbi.nlm.nih.gov/pmc/blobs/170f/7304896/ffb99ce11e42/jp9b11788_0003.jpg
https://cdn.ncbi.nlm.nih.gov/pmc/blobs/170f/7304896/23fead2af27e/jp9b11788_0004.jpg
https://cdn.ncbi.nlm.nih.gov/pmc/blobs/170f/7304896/17b1845a75ce/jp9b11788_0005.jpg
https://cdn.ncbi.nlm.nih.gov/pmc/blobs/170f/7304896/774c9f9f248f/jp9b11788_0006.jpg
https://cdn.ncbi.nlm.nih.gov/pmc/blobs/170f/7304896/d824d0b06930/jp9b11788_0007.jpg
https://cdn.ncbi.nlm.nih.gov/pmc/blobs/170f/7304896/203d121ba517/jp9b11788_0008.jpg
https://cdn.ncbi.nlm.nih.gov/pmc/blobs/170f/7304896/f5383e2109ab/jp9b11788_0001.jpg
https://cdn.ncbi.nlm.nih.gov/pmc/blobs/170f/7304896/5395ce8f9ffd/jp9b11788_0002.jpg
https://cdn.ncbi.nlm.nih.gov/pmc/blobs/170f/7304896/ffb99ce11e42/jp9b11788_0003.jpg
https://cdn.ncbi.nlm.nih.gov/pmc/blobs/170f/7304896/23fead2af27e/jp9b11788_0004.jpg
https://cdn.ncbi.nlm.nih.gov/pmc/blobs/170f/7304896/17b1845a75ce/jp9b11788_0005.jpg
https://cdn.ncbi.nlm.nih.gov/pmc/blobs/170f/7304896/774c9f9f248f/jp9b11788_0006.jpg
https://cdn.ncbi.nlm.nih.gov/pmc/blobs/170f/7304896/d824d0b06930/jp9b11788_0007.jpg
https://cdn.ncbi.nlm.nih.gov/pmc/blobs/170f/7304896/203d121ba517/jp9b11788_0008.jpg

相似文献

1
Time-Resolved Photoelectron Spectroscopy Studies of Isoxazole and Oxazole.异恶唑和恶唑的时间分辨光电子能谱研究
J Phys Chem A. 2020 May 21;124(20):3984-3992. doi: 10.1021/acs.jpca.9b11788. Epub 2020 May 8.
2
Time-Resolved Photoelectron Studies of Thiophene and 2,5-Dimethylthiophene.噻吩和2,5-二甲基噻吩的时间分辨光电子研究
J Phys Chem A. 2018 Nov 15;122(45):8809-8818. doi: 10.1021/acs.jpca.8b06728. Epub 2018 Nov 6.
3
The ring-opening channel and the influence of Rydberg states on the excited state dynamics of furan and its derivatives.呋喃及其衍生物的开环通道和里德堡态对激发态动力学的影响。
J Chem Phys. 2018 Aug 28;149(8):084303. doi: 10.1063/1.5024655.
4
Competition between ring-puckering and ring-opening excited state reactions exemplified on 5H-furan-2-one and derivatives.以5H-呋喃-2-酮及其衍生物为例的环扭曲与开环激发态反应之间的竞争
J Chem Phys. 2020 Feb 14;152(6):064301. doi: 10.1063/1.5129366.
5
Cyclohexadiene Revisited: A Time-Resolved Photoelectron Spectroscopy and ab Initio Study.环己二烯再探:时间分辨光电子能谱与从头算研究
J Phys Chem A. 2016 Apr 21;120(15):2320-9. doi: 10.1021/acs.jpca.5b10928. Epub 2016 Apr 7.
6
Relaxation dynamics of photoexcited resorcinol: internal conversion versus H atom tunnelling.激发态间甲酚的弛豫动力学:内转换与 H 原子隧穿。
Phys Chem Chem Phys. 2014 Jan 14;16(2):550-62. doi: 10.1039/c3cp53726a.
7
Excited state non-adiabatic dynamics of pyrrole: a time-resolved photoelectron spectroscopy and quantum dynamics study.吡咯的激发态非绝热动力学:时间分辨光电子能谱和量子动力学研究
J Chem Phys. 2015 Feb 21;142(7):074302. doi: 10.1063/1.4907529.
8
Following the excited state relaxation dynamics of indole and 5-hydroxyindole using time-resolved photoelectron spectroscopy.利用时间分辨光电子能谱研究吲哚和 5-羟色胺的激发态弛豫动力学。
J Chem Phys. 2011 Nov 21;135(19):194307. doi: 10.1063/1.3659231.
9
Vacuum ultraviolet excited state dynamics of the smallest ring, cyclopropane. II. Time-resolved photoelectron spectroscopy and dynamics.真空紫外激发态的最小环丙烷的动力学。II. 时间分辨光电子能谱和动力学。
J Chem Phys. 2018 Oct 14;149(14):144311. doi: 10.1063/1.5044402.
10
Exploring ultrafast H-atom elimination versus photofragmentation pathways in pyrazole following 200 nm excitation.探索 200nm 激发后吡唑中超快 H 原子消除与光解碎片途径。
J Phys Chem A. 2012 Mar 22;116(11):2600-9. doi: 10.1021/jp2053212. Epub 2011 Aug 1.

引用本文的文献

1
Influence of Selective Carbon 1s Excitation on Auger-Meitner Decay in the ESCA Molecule.选择性碳1s激发对光电子能谱分子中俄歇-迈特纳衰变的影响。
J Phys Chem Lett. 2024 Apr 25;15(16):4286-4293. doi: 10.1021/acs.jpclett.3c03611. Epub 2024 Apr 12.
2
Photochemistry of 2-thiooxazole: a plausible prebiotic precursor to RNA nucleotides.2-噻唑啉的光化学:RNA 核苷酸的前生物 plausible 前体。
Phys Chem Chem Phys. 2022 Sep 14;24(35):21406-21416. doi: 10.1039/d2cp03167a.
3
Multireference Approach to Normal and Resonant Auger Spectra Based on the One-Center Approximation.

本文引用的文献

1
Competition between ring-puckering and ring-opening excited state reactions exemplified on 5H-furan-2-one and derivatives.以5H-呋喃-2-酮及其衍生物为例的环扭曲与开环激发态反应之间的竞争
J Chem Phys. 2020 Feb 14;152(6):064301. doi: 10.1063/1.5129366.
2
Probing ultrafast dynamics during and after passing through conical intersections.探索通过锥形交叉点期间及之后的超快动力学。
Phys Chem Chem Phys. 2019 Jul 3;21(26):13902-13905. doi: 10.1039/c8cp04426k.
3
Photoinduced Heterocyclic Ring Opening of Furfural: Distinct Open-Chain Product Identification by Ultrafast X-ray Transient Absorption Spectroscopy.
基于单中心近似的正常和共振俄歇谱的多参考方法。
J Chem Theory Comput. 2022 Jul 12;18(7):4387-4407. doi: 10.1021/acs.jctc.2c00252. Epub 2022 Jun 23.
糠醛的光致杂环开环:通过超快X射线瞬态吸收光谱法鉴定独特的开链产物
J Am Chem Soc. 2018 Oct 3;140(39):12538-12544. doi: 10.1021/jacs.8b07155. Epub 2018 Sep 21.
4
The ring-opening channel and the influence of Rydberg states on the excited state dynamics of furan and its derivatives.呋喃及其衍生物的开环通道和里德堡态对激发态动力学的影响。
J Chem Phys. 2018 Aug 28;149(8):084303. doi: 10.1063/1.5024655.
5
Direct versus Indirect Photodissociation of Isoxazole from Product Branching: A Chirped-Pulse Fourier Transform mm-Wave Spectroscopy/Pulsed Uniform Flow Investigation.从产物分支看异恶唑的直接与间接光解离:啁啾脉冲傅里叶变换毫米波光谱/脉冲均匀流研究
J Phys Chem A. 2018 Sep 27;122(38):7523-7531. doi: 10.1021/acs.jpca.8b04713. Epub 2018 Sep 12.
6
Accuracy of trajectory surface-hopping methods: Test for a two-dimensional model of the photodissociation of phenol.轨迹表面跳跃方法的准确性:对苯酚光解的二维模型进行测试。
J Chem Phys. 2017 Nov 14;147(18):184114. doi: 10.1063/1.5006788.
7
Exploring the Dynamics of the Photoinduced Ring-Opening of Heterocyclic Molecules.探索杂环分子光致开环的动力学
J Phys Chem Lett. 2017 Jul 20;8(14):3440-3451. doi: 10.1021/acs.jpclett.7b01219. Epub 2017 Jul 12.
8
Dynamics in higher lying excited states: Valence to Rydberg transitions in the relaxation paths of pyrrole and methylated derivatives.高能激发态动力学:吡咯和甲基取代衍生物弛豫路径中的价到里德堡跃迁。
J Chem Phys. 2017 Apr 14;146(14):144307. doi: 10.1063/1.4979681.
9
Substituent effects on the relaxation dynamics of furan, furfural and β-furfural: a combined theoretical and experimental approach.取代基对呋喃、糠醛和β-糠醛弛豫动力学的影响:理论与实验相结合的方法。
Phys Chem Chem Phys. 2017 Jan 18;19(3):2025-2035. doi: 10.1039/c6cp06240g.
10
Femtosecond Excited State Dynamics of Size Selected Neutral Molecular Clusters.尺寸选择中性分子团簇的飞秒激发态动力学
J Phys Chem Lett. 2016 Jul 21;7(14):2797-802. doi: 10.1021/acs.jpclett.6b00997. Epub 2016 Jul 12.