Suppr超能文献

作为高频电刺激的一种常见动力学机制,弱不稳定固定点的稳定化。

Stabilization of Weakly Unstable Fixed Points as a Common Dynamical Mechanism of High-Frequency Electrical Stimulation.

机构信息

Department of Electrical Engineering and Computer Science, University of Tennessee, Knoxville, TN, 37996, USA.

出版信息

Sci Rep. 2020 Apr 3;10(1):5922. doi: 10.1038/s41598-020-62839-6.

Abstract

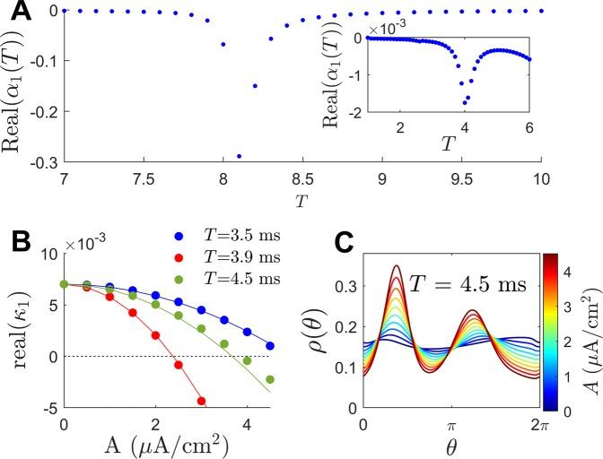
While high-frequency electrical stimulation often used to treat various biological diseases, it is generally difficult to understand its dynamical mechanisms of action. In this work, high-frequency electrical stimulation is considered in the context of neurological and cardiological systems. Despite inherent differences between these systems, results from both theory and computational modeling suggest identical dynamical mechanisms responsible for desirable qualitative changes in behavior in response to high-frequency stimuli. Specifically, desynchronization observed in a population of periodically firing neurons and reversible conduction block that occurs in cardiomyocytes both result from bifurcations engendered by stimulation that modifies the stability of unstable fixed points. Using a reduced order phase-amplitude modeling framework, this phenomenon is described in detail from a theoretical perspective. Results are consistent with and provide additional insight for previously published experimental observations. Also, it is found that sinusoidal input is energy-optimal for modifying the stability of weakly unstable fixed points using periodic stimulation.

摘要

虽然高频电刺激常用于治疗各种生物疾病,但通常很难理解其作用的动力学机制。在这项工作中,高频电刺激被认为是在神经和心血管系统的背景下。尽管这些系统之间存在固有差异,但理论和计算建模的结果表明,相同的动力学机制负责对高频刺激做出反应的行为产生理想的定性变化。具体来说,在周期性发射神经元的群体中观察到的去同步化和在心肌细胞中发生的可逆传导阻滞,都源于刺激引发的分叉,该分叉改变了不稳定固定点的稳定性。使用降阶相幅建模框架,从理论角度详细描述了这一现象。结果与之前发表的实验观察结果一致,并提供了额外的见解。此外,还发现正弦输入是使用周期性刺激修改弱不稳定固定点稳定性的最佳能量选择。

https://cdn.ncbi.nlm.nih.gov/pmc/blobs/5d66/7125125/1d2b10c6a5a9/41598_2020_62839_Fig1_HTML.jpg

文献AI研究员

20分钟写一篇综述,助力文献阅读效率提升50倍。

立即体验

用中文搜PubMed

大模型驱动的PubMed中文搜索引擎

马上搜索

文档翻译

学术文献翻译模型,支持多种主流文档格式。

立即体验