• 文献检索
  • 文档翻译
  • 深度研究
  • 学术资讯
  • Suppr Zotero 插件Zotero 插件
  • 邀请有礼
  • 套餐&价格
  • 历史记录
应用&插件
Suppr Zotero 插件Zotero 插件浏览器插件Mac 客户端Windows 客户端微信小程序
定价
高级版会员购买积分包购买API积分包
服务
文献检索文档翻译深度研究API 文档MCP 服务
关于我们
关于 Suppr公司介绍联系我们用户协议隐私条款
关注我们

Suppr 超能文献

核心技术专利:CN118964589B侵权必究
粤ICP备2023148730 号-1Suppr @ 2026

文献检索

告别复杂PubMed语法,用中文像聊天一样搜索,搜遍4000万医学文献。AI智能推荐,让科研检索更轻松。

立即免费搜索

文件翻译

保留排版,准确专业,支持PDF/Word/PPT等文件格式,支持 12+语言互译。

免费翻译文档

深度研究

AI帮你快速写综述,25分钟生成高质量综述,智能提取关键信息,辅助科研写作。

立即免费体验

PGRP-LE在肠道抗菌肽产生以响应……过程中起关键作用。 (原文此处不完整)

PGRP-LE Plays a Critical Role in Gut Antimicrobial Peptide Production in Response to .

作者信息

Keshavarz Maryam, Jo Yong Hun, Edosa Tariku Tesfaye, Han Yeon Soo

机构信息

Department of Applied Biology, College of Agriculture and Life Sciences, Institute of Environmentally-Friendly Agriculture (IEFA), Chonnam National University, Gwangju, South Korea.

出版信息

Front Physiol. 2020 Apr 15;11:320. doi: 10.3389/fphys.2020.00320. eCollection 2020.

DOI:10.3389/fphys.2020.00320
PMID:32372972
原文链接:https://pmc.ncbi.nlm.nih.gov/articles/PMC7179671/
Abstract

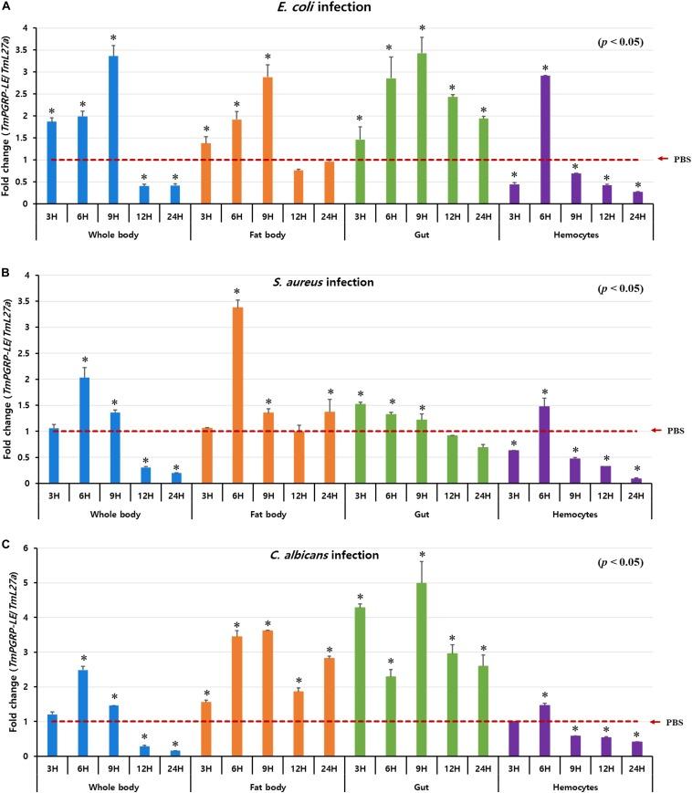
Invading pathogens are recognized by peptidoglycan recognition proteins (PGRPs) that induce translocation of NF-κB transcription proteins and expression of robust antimicrobial peptides (AMPs). PGRP-LE (PGRP-LE) has been previously identified as a key sensor of infection. Here, we present that is highly expressed in the gut of larvae and 5-day-old adults in the absence of microbial infection. In response to and infections, mRNA levels are significantly upregulated in both the fat body and gut. Silencing of by RNAi rendered significantly more susceptible to challenge by infection and, to a lesser extent, and infections. Reduction of levels in the larval gut resulted in downregulation of eight AMP genes following exposure to , , and . However, the transcriptional levels of AMPs more rapidly reached a higher level in the ds-treated larval gut after challenge with , which may suggest that AMPs induction were more sensitive to than and In addition, RNAi following and challenges had notable effects on , isoform (), and expression level in the fat body and gut. Taken together, acts as an important gut microbial sensor that induces AMPs via Imd activation in response to , whereas involvement of in AMPs synthesize is barely perceptible in the hemocytes and fat body.

摘要

入侵病原体被肽聚糖识别蛋白(PGRPs)识别,这些蛋白可诱导NF-κB转录蛋白的转位并表达强大的抗菌肽(AMPs)。PGRP-LE(PGRP-LE)先前已被确定为感染的关键传感器。在此,我们发现其在未受微生物感染的幼虫肠道和5日龄成虫中高度表达。响应于和感染,脂肪体和肠道中的mRNA水平均显著上调。通过RNAi沉默使对感染的挑战更敏感,在较小程度上对和感染也更敏感。幼虫肠道中水平的降低导致在暴露于、和后八个AMP基因的下调。然而,在用攻击后,ds处理的幼虫肠道中AMPs的转录水平更快地达到更高水平,这可能表明AMPs的诱导对比和更敏感。此外,在和攻击后进行RNAi对脂肪体和肠道中的、异构体()和表达水平有显著影响。综上所述,作为一种重要的肠道微生物传感器,通过响应于激活Imd来诱导AMPs,而在血细胞和脂肪体中,在AMPs合成中的参与几乎难以察觉。

https://cdn.ncbi.nlm.nih.gov/pmc/blobs/469d/7179671/90b8fa07802f/fphys-11-00320-g008.jpg
https://cdn.ncbi.nlm.nih.gov/pmc/blobs/469d/7179671/1866a57af87f/fphys-11-00320-g001.jpg
https://cdn.ncbi.nlm.nih.gov/pmc/blobs/469d/7179671/4990c7d4e50e/fphys-11-00320-g002.jpg
https://cdn.ncbi.nlm.nih.gov/pmc/blobs/469d/7179671/707315bc2c0f/fphys-11-00320-g003.jpg
https://cdn.ncbi.nlm.nih.gov/pmc/blobs/469d/7179671/5622ede8a777/fphys-11-00320-g004.jpg
https://cdn.ncbi.nlm.nih.gov/pmc/blobs/469d/7179671/76a39c6d2682/fphys-11-00320-g005.jpg
https://cdn.ncbi.nlm.nih.gov/pmc/blobs/469d/7179671/7d8b7ea96319/fphys-11-00320-g006.jpg
https://cdn.ncbi.nlm.nih.gov/pmc/blobs/469d/7179671/b74a849a553d/fphys-11-00320-g007.jpg
https://cdn.ncbi.nlm.nih.gov/pmc/blobs/469d/7179671/90b8fa07802f/fphys-11-00320-g008.jpg
https://cdn.ncbi.nlm.nih.gov/pmc/blobs/469d/7179671/1866a57af87f/fphys-11-00320-g001.jpg
https://cdn.ncbi.nlm.nih.gov/pmc/blobs/469d/7179671/4990c7d4e50e/fphys-11-00320-g002.jpg
https://cdn.ncbi.nlm.nih.gov/pmc/blobs/469d/7179671/707315bc2c0f/fphys-11-00320-g003.jpg
https://cdn.ncbi.nlm.nih.gov/pmc/blobs/469d/7179671/5622ede8a777/fphys-11-00320-g004.jpg
https://cdn.ncbi.nlm.nih.gov/pmc/blobs/469d/7179671/76a39c6d2682/fphys-11-00320-g005.jpg
https://cdn.ncbi.nlm.nih.gov/pmc/blobs/469d/7179671/7d8b7ea96319/fphys-11-00320-g006.jpg
https://cdn.ncbi.nlm.nih.gov/pmc/blobs/469d/7179671/b74a849a553d/fphys-11-00320-g007.jpg
https://cdn.ncbi.nlm.nih.gov/pmc/blobs/469d/7179671/90b8fa07802f/fphys-11-00320-g008.jpg

相似文献

1
PGRP-LE Plays a Critical Role in Gut Antimicrobial Peptide Production in Response to .PGRP-LE在肠道抗菌肽产生以响应……过程中起关键作用。 (原文此处不完整)
Front Physiol. 2020 Apr 15;11:320. doi: 10.3389/fphys.2020.00320. eCollection 2020.
2
PGRP-SA regulates Antimicrobial Response to Bacteria and Fungi in the Fat Body and Gut of .PGRP-SA 调控脂肪体和肠道中细菌和真菌的抗菌反应。
Int J Mol Sci. 2020 Mar 19;21(6):2113. doi: 10.3390/ijms21062113.
3
TmDorX2 positively regulates antimicrobial peptides in Tenebrio molitor gut, fat body, and hemocytes in response to bacterial and fungal infection.TmDorX2 正向调控黄粉虫肠道、脂肪体和血细胞中的抗菌肽,以响应细菌和真菌感染。
Sci Rep. 2019 Nov 14;9(1):16878. doi: 10.1038/s41598-019-53497-4.
4
Cloning, characterization and effect of TmPGRP-LE gene silencing on survival of Tenebrio molitor against Listeria monocytogenes infection.TmPGRP-LE 基因沉默对美洲大蠊对李斯特菌感染存活的影响的克隆、鉴定和作用。
Int J Mol Sci. 2013 Nov 14;14(11):22462-82. doi: 10.3390/ijms141122462.
5
TmRelish is required for regulating the antimicrobial responses to Escherichia coli and Staphylococcus aureus in Tenebrio molitor.TmRelish 在调控美洲大蠊对大肠杆菌和金黄色葡萄球菌的抗菌反应中是必需的。
Sci Rep. 2020 Mar 6;10(1):4258. doi: 10.1038/s41598-020-61157-1.
6
Two Roles for the Relish in the Regulation of Antimicrobial Peptides and Autophagy-Related Genes in Response to .Relish在响应……时对抗菌肽和自噬相关基因调控中的两种作用
Insects. 2020 Mar 16;11(3):188. doi: 10.3390/insects11030188.
7
Autophagy in Immunity: Conserved Antimicrobial Functions in Insect Defenses.自噬在免疫中的作用:昆虫防御中保守的抗菌功能。
Front Immunol. 2021 May 31;12:667664. doi: 10.3389/fimmu.2021.667664. eCollection 2021.
8
Critical Roles of Spätzle5 in Antimicrobial Peptide Production Against in Malpighian Tubules.Spätzle5 在 中对 抗菌肽产生的关键作用 于 马尔皮基氏小管。
Front Immunol. 2021 Dec 16;12:760475. doi: 10.3389/fimmu.2021.760475. eCollection 2021.
9
IKKγ/NEMO Is Required to Confer Antimicrobial Innate Immune Responses in the Yellow Mealworm, .IKKγ/NEMO 在黄粉虫中赋予抗菌先天免疫反应
Int J Mol Sci. 2020 Sep 14;21(18):6734. doi: 10.3390/ijms21186734.
10
Spz-like Plays a Fundamental Role in Response to but Not or Infection in via Regulation of Antimicrobial Peptide Production.Spz 样蛋白通过调节抗菌肽的产生在 对 的反应中起基本作用,但在 或 感染中不起作用。
Int J Mol Sci. 2021 Oct 8;22(19):10888. doi: 10.3390/ijms221910888.

引用本文的文献

1
Recent trends in insect gut immunity.昆虫肠道免疫的最新趋势。
Front Immunol. 2023 Dec 18;14:1272143. doi: 10.3389/fimmu.2023.1272143. eCollection 2023.
2
Improving the nutritional values of yellow mealworm Tenebrio molitor (Coleoptera: Tenebrionidae) larvae as an animal feed ingredient: a review.提高黄粉虫(鞘翅目:拟步甲科)幼虫作为动物饲料成分的营养价值:综述
J Anim Sci Biotechnol. 2023 Dec 3;14(1):146. doi: 10.1186/s40104-023-00945-x.
3
Innate Immune Response of Following Systemic Microbial Infection in .固有免疫反应在全身性微生物感染后的作用。

本文引用的文献

1
TmRelish is required for regulating the antimicrobial responses to Escherichia coli and Staphylococcus aureus in Tenebrio molitor.TmRelish 在调控美洲大蠊对大肠杆菌和金黄色葡萄球菌的抗菌反应中是必需的。
Sci Rep. 2020 Mar 6;10(1):4258. doi: 10.1038/s41598-020-61157-1.
2
TmDorX2 positively regulates antimicrobial peptides in Tenebrio molitor gut, fat body, and hemocytes in response to bacterial and fungal infection.TmDorX2 正向调控黄粉虫肠道、脂肪体和血细胞中的抗菌肽,以响应细菌和真菌感染。
Sci Rep. 2019 Nov 14;9(1):16878. doi: 10.1038/s41598-019-53497-4.
3
The peptidoglycan recognition protein PGRP-LE regulates the Drosophila immune response against the pathogen Photorhabdus.
Int J Mol Sci. 2023 Apr 4;24(7):6751. doi: 10.3390/ijms24076751.
4
Transcriptome analysis of the endangered dung beetle Copris tripartitus (Coleoptera: Scarabaeidae) and characterization of genes associated to immunity, growth, and reproduction.三臂驼粪蜣螂(鞘翅目:金龟科)转录组分析及与免疫、生长和繁殖相关基因的特征。
BMC Genomics. 2023 Mar 2;24(1):94. doi: 10.1186/s12864-023-09122-w.
5
Immunological Roles of in Response to Systemic Infection in .在 全身性感染 中 对 的免疫作用。
Int J Mol Sci. 2022 Nov 21;23(22):14490. doi: 10.3390/ijms232214490.
6
Emerging Evidence on Immunity: A Focus on Gene Expression Involved in Microbial Infection for Host-Pathogen Interaction Studies.免疫领域的新证据:聚焦微生物感染中涉及宿主-病原体相互作用研究的基因表达
Microorganisms. 2022 Oct 7;10(10):1983. doi: 10.3390/microorganisms10101983.
7
Current Status of Immune Deficiency Pathway in Innate Immunity.先天免疫中免疫缺陷途径的现状。
Front Immunol. 2022 Jul 4;13:906192. doi: 10.3389/fimmu.2022.906192. eCollection 2022.
8
IKKε Is Required to Confer Protection Against Gram-Negative Bacteria, by the Regulation of Antimicrobial Peptide Production in the Fat Body.IKKε 通过调节脂肪体中抗菌肽的产生来赋予对革兰氏阴性菌的保护作用。
Front Physiol. 2022 Jan 7;12:758862. doi: 10.3389/fphys.2021.758862. eCollection 2021.
9
Critical Roles of Spätzle5 in Antimicrobial Peptide Production Against in Malpighian Tubules.Spätzle5 在 中对 抗菌肽产生的关键作用 于 马尔皮基氏小管。
Front Immunol. 2021 Dec 16;12:760475. doi: 10.3389/fimmu.2021.760475. eCollection 2021.
10
Blattella germanica displays a large arsenal of antimicrobial peptide genes.德国小蠊拥有大量的抗菌肽基因。
Sci Rep. 2020 Dec 3;10(1):21058. doi: 10.1038/s41598-020-77982-3.
肽聚糖识别蛋白 PGRP-LE 调控果蝇对病原菌 Photorhabdus 的免疫反应。
Microb Pathog. 2019 Nov;136:103664. doi: 10.1016/j.micpath.2019.103664. Epub 2019 Aug 9.
4
Regulation of the expression of nine antimicrobial peptide genes by TmIMD confers resistance against Gram-negative bacteria.TmIMD 调控九种抗菌肽基因的表达赋予其抵抗革兰氏阴性菌的能力。
Sci Rep. 2019 Jul 12;9(1):10138. doi: 10.1038/s41598-019-46222-8.
5
Molecular and functional characterization of ApPGRP from Anatolica polita in the immune response to Escherichia coli.中华稻蝗免疫反应中 ApPGRP 的分子与功能特征分析。
Gene. 2019 Mar 30;690:21-29. doi: 10.1016/j.gene.2018.12.036. Epub 2018 Dec 26.
6
Peptidoglycan recognition proteins in insect immunity.昆虫免疫中的肽聚糖识别蛋白。
Mol Immunol. 2019 Feb;106:69-76. doi: 10.1016/j.molimm.2018.12.021. Epub 2018 Dec 24.
7
Innate humoral immune defences in mammals and insects: The same, with differences ?哺乳动物和昆虫的先天体液免疫防御:相同,有差异?
Virulence. 2018;9(1):1625-1639. doi: 10.1080/21505594.2018.1526531.
8
A Balancing Act: PGRPs Preserve and Protect.平衡之举:PGRPs 的保护与保存作用
Cell Host Microbe. 2018 Feb 14;23(2):149-151. doi: 10.1016/j.chom.2018.01.010.
9
Unexpected role of the IMD pathway in Drosophila gut defense against Staphylococcus aureus.IMD信号通路在果蝇肠道抵御金黄色葡萄球菌中的意外作用
Biochem Biophys Res Commun. 2018 Jan 1;495(1):395-400. doi: 10.1016/j.bbrc.2017.11.004. Epub 2017 Nov 3.
10
PGRP-SD, an Extracellular Pattern-Recognition Receptor, Enhances Peptidoglycan-Mediated Activation of the Drosophila Imd Pathway.PGRP-SD,一种细胞外模式识别受体,增强肽聚糖介导的果蝇 IMD 途径的激活。
Immunity. 2016 Nov 15;45(5):1013-1023. doi: 10.1016/j.immuni.2016.10.029.