Suppr超能文献

骨骼肌神经肌肉特性的改变与氧摄取慢成分在时间上是分离的。

Alterations to neuromuscular properties of skeletal muscle are temporally dissociated from the oxygen uptake slow component.

机构信息

Department of Exercise Sciences, Faculty of Science, University of Auckland, Auckland, New Zealand.

School of Human Movement and Nutrition Sciences, The University of Queensland, St Lucia, Queensland, Australia.

出版信息

Sci Rep. 2020 May 7;10(1):7728. doi: 10.1038/s41598-020-64395-5.

Abstract

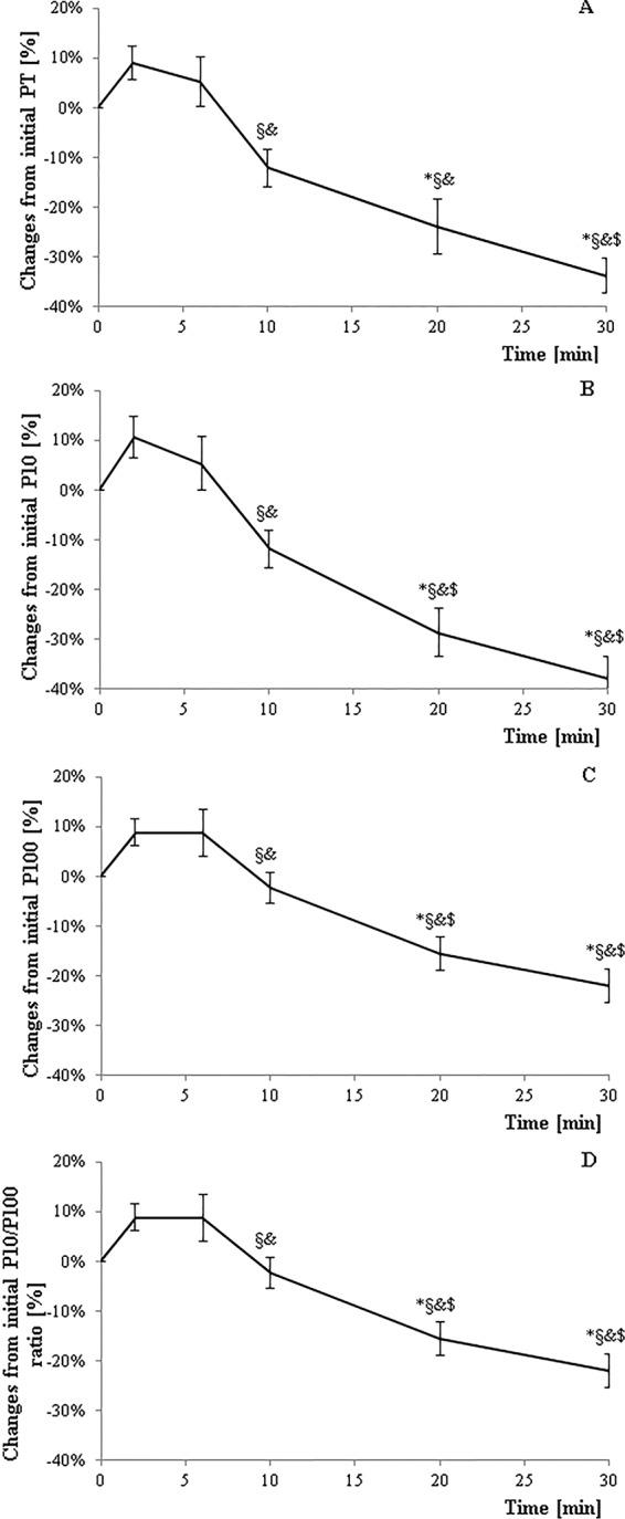
To assess if the alteration of neuromuscular properties of knee extensors muscles during heavy exercise co-vary with the SCV ([Formula: see text] slow component), eleven healthy male participants completed an incremental ramp test to exhaustion and five constant heavy intensity cycling bouts of 2, 6, 10, 20 and 30 minutes. Neuromuscular testing of the knee extensor muscles were completed before and after exercise. Results showed a significant decline in maximal voluntary contraction (MVC) torque only after 30 minutes of exercise (-17.01% ± 13.09%; p < 0.05) while single twitch (PT), 10 Hz (P10), and 100 Hz (P100) doublet peak torque amplitudes were reduced after 20 and 30 minutes (p < 0.05). Voluntary activation (VA) and M-wave were not affected by exercise, but significant correlation was found between the SCV and PT, MVC, VA, P10, P100, and P10/P100 ratio, respectively (p < 0.015). Therefore, because the development of the SCV occurred mainly between 2-10 minutes, during which neuromuscular properties were relatively stable, and because PT, P10 and P100 were significantly reduced only after 20-30 minutes of exercise while SCV is stable, a temporal relationship between them does not appear to exist. These results suggest that the development of fatigue due to alterations of neuromuscular properties is not an essential requirement to elicit the SCV.

摘要

为了评估在剧烈运动期间,伸膝肌的神经肌肉特性改变是否与 SCV([Formula: see text]慢成分)相关,11 名健康男性参与者完成了递增斜坡试验直至力竭,以及 5 次持续 2、6、10、20 和 30 分钟的高强度恒重自行车运动。在运动前后对伸膝肌进行神经肌肉测试。结果显示,仅在 30 分钟的运动后,最大自主收缩(MVC)扭矩才出现显著下降(-17.01%±13.09%;p<0.05),而单收缩(PT)、10Hz(P10)和 100Hz(P100)双脉冲峰值扭矩幅度在 20 和 30 分钟后下降(p<0.05)。运动后,自主激活(VA)和 M 波不受影响,但 SCV 与 PT、MVC、VA、P10、P100 和 P10/P100 比值之间存在显著相关性(p<0.015)。因此,由于 SCV 的发展主要发生在 2-10 分钟之间,在此期间神经肌肉特性相对稳定,而 PT、P10 和 P100 在 20-30 分钟的运动后才明显降低,而 SCV 稳定,因此它们之间似乎不存在时间关系。这些结果表明,由于神经肌肉特性的改变而导致的疲劳发展并不是引起 SCV 的必要条件。

https://cdn.ncbi.nlm.nih.gov/pmc/blobs/77f7/7206089/0f61da4d3c5a/41598_2020_64395_Fig1_HTML.jpg

文献AI研究员

20分钟写一篇综述,助力文献阅读效率提升50倍。

立即体验

用中文搜PubMed

大模型驱动的PubMed中文搜索引擎

马上搜索

文档翻译

学术文献翻译模型,支持多种主流文档格式。

立即体验