Suppr超能文献

能量代谢和肌肉激活异质性解释了不同强度下的自行车运动的慢成分和肌肉疲劳。

Energy metabolism and muscle activation heterogeneity explain slow component and muscle fatigue of cycling at different intensities.

机构信息

Physical effort Laboratory, Sports Centre, Federal University of Santa Catarina, Florianopolis, Brazil.

Leonardo da Vinci University - Uniasselvi/VITRU Education, Indaial, Brazil.

出版信息

Exp Physiol. 2023 Mar;108(3):503-517. doi: 10.1113/EP090444. Epub 2023 Jan 17.

Abstract

NEW FINDINGS

What is the central question of this study? What are the physiological mechanisms underlying muscle fatigue and the increase in the O cost per unit of work during high-intensity exercise? What is the main finding and its importance? Muscle fatigue happens before, and does not explain, the slow component ( ), but they share the same origin. Muscle activation heterogeneity is associated with muscle fatigue and . Knowing this may improve training prescriptions for healthy people leading to improved public health outcomes.

ABSTRACT

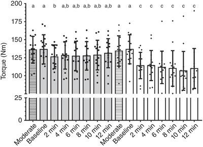
This study aimed to explain the slow component ( ) and muscle fatigue during cycling at different intensities. The muscle fatigue of 16 participants was determined through maximal isokinetic effort lasting 3 s during constant work rate bouts of moderate (MOD), heavy (HVY) and very heavy intensity (VHI) exercise. Breath-by-breath , near-infrared spectroscopy signals and EMG activity were analysed (thigh muscles). was higher during VHI exercise (∼70% vs. ∼28% of reserve in HVY). The deoxygenated haemoglobin final value during VHI exercise was higher than during HVY and MOD exercise (∼90% of HHb physiological normalization, vs. ∼82% HVY and ∼45% MOD). The muscle fatigue was greater after VHI exercise (∼22% vs. HVY ∼5%). There was no muscle fatigue after MOD exercise. The greatest magnitude of muscle fatigue occurred within 2 min (VHI ∼17%; HVY ∼9%), after which it stabilized. No significant relationship between and muscle force production was observed. The τ of muscle was significantly related (R  = 0.47) with torque decrease for VHI. Type I and II muscle fibre recruitment mainly in the rectus femoris moderately explained the muscle fatigue (R  = 0.30 and 0.31, respectively) and the (R  = 0.39 and 0.27, respectively). The is also partially explained by blood lactate accumulation (R  = 0.42). In conclusion muscle fatigue and O cost seem to share the same physiological cause linked with a decrease in the muscle and a change in lactate accumulation. Muscle fatigue and are associated with muscle activation heterogeneity and metabolism of different muscles activated during cycling.

摘要

新发现

本研究的核心问题是什么?高强度运动中肌肉疲劳和单位做功耗氧量增加的生理机制是什么?主要发现及其重要性是什么?肌肉疲劳先于但不能解释缓慢成分(),但它们有共同的起源。肌肉激活异质性与肌肉疲劳和有关。了解这一点可能会改善健康人群的训练方案,从而改善公共健康结果。

摘要

本研究旨在解释不同强度下自行车运动中的缓慢成分()和肌肉疲劳。通过在中强度(MOD)、高强度(HVY)和极高强度(VHI)运动的恒功阶段进行持续 3 秒的最大等速努力,确定了 16 名参与者的肌肉疲劳。对(大腿肌肉)的逐次呼吸、近红外光谱信号和肌电图活动进行了分析。在 VHI 运动时(~70%,HVY 时为~28%)。在 VHI 运动时,去氧血红蛋白的最终值高于 HVY 和 MOD 运动时(~90%HHb 生理归一化,HVY 时为~82%,MOD 时为~45%)。VHI 运动后肌肉疲劳更大(~22%,HVY 时为~5%)。MOD 运动后没有肌肉疲劳。最大幅度的肌肉疲劳发生在 2 分钟内(VHI 约 17%;HVY 约 9%),之后稳定下来。未观察到和肌肉力量产生之间存在显著关系。肌肉的τ与 VHI 时的扭矩下降显著相关(R=0.47)。股直肌中 I 型和 II 型肌纤维的募集主要解释了肌肉疲劳(R=0.30 和 0.31)和(R=0.39 和 0.27)。也部分解释了血乳酸积累(R=0.42)。综上所述,肌肉疲劳和耗氧量似乎有共同的生理原因,与肌肉和乳酸积累变化有关。肌肉疲劳和与自行车运动中不同肌肉激活时的肌肉激活异质性和代谢有关。

https://cdn.ncbi.nlm.nih.gov/pmc/blobs/4d5a/10103881/4aea9020e8aa/EPH-108-503-g004.jpg

文献AI研究员

20分钟写一篇综述,助力文献阅读效率提升50倍。

立即体验

用中文搜PubMed

大模型驱动的PubMed中文搜索引擎

马上搜索

文档翻译

学术文献翻译模型,支持多种主流文档格式。

立即体验