Suppr超能文献

FOXM1 和 Aurora-A 的表达可预测肝细胞癌患者的预后和索拉非尼疗效。

Expression of FOXM1 and Aurora-A predicts prognosis and sorafenib efficacy in patients with hepatocellular carcinoma.

机构信息

Department of Surgery, Kaohsiung Municipal Ta-Tung Hospital, Kaohsiung, Taiwan.

Division of General and Digestive Surgery, Department of Surgery, Kaohsiung Medical University Hospital, Kaohsiung Medical University, Kaohsiung, Taiwan.

出版信息

Cancer Biomark. 2020;28(3):341-350. doi: 10.3233/CBM-190507.

Abstract

BACKGROUND

Effective prognostic biomarkers and powerful target-therapeutic drugs are needed for improving the treatment of Hepatocellular carcinoma (HCC).

OBJECTIVE

This study aimed to evaluate the expression of FOXM1 and Aurora-A and their prognostic value in HCC.

METHODS

We determined the differentially expressed genes signature in HCC using the Gene Set Enrichment Analysis (GSEA), and then evaluated the expression of FOXM1 and Aurora-A in TCGA and KMUH cohort. Associations between co-expression of FOXM1 and Aurora-A and clinical variables were calculated. Overall survival (OS) and recurrence-free survival (RFS) were estimated with different FOXM1 and Aurora-A expression status.

RESULTS

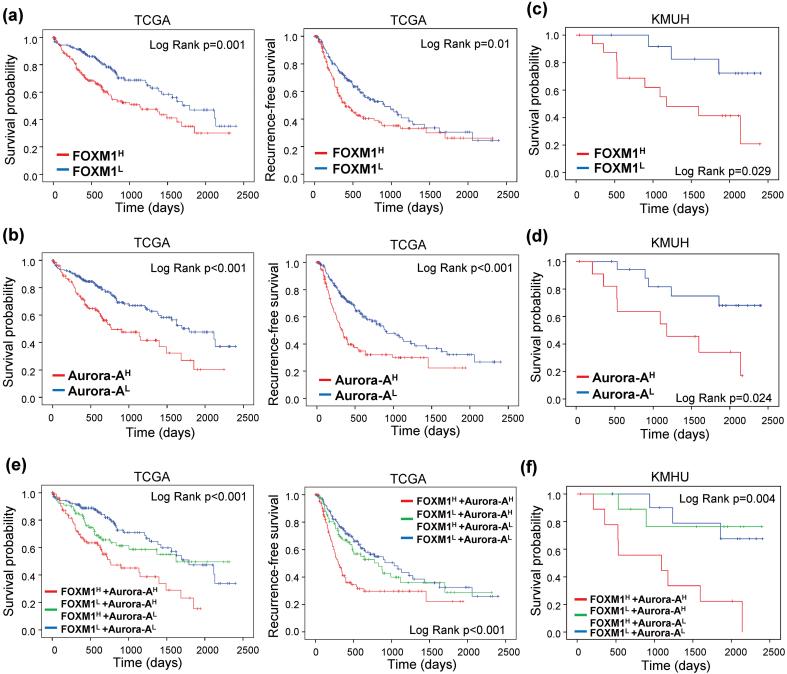
FOXM1-related gene sets were mostly associated with cell cycle regulation in HCC tissues. We found a positive correlation between the expression of FOXM1 and Aurora-A. Overexpression of FOXM1 and Aurora-A was associated with larger tumor size, advanced stage, higher grade, and double-positive for HBV and HCV. The coordinated overexpression of FOXM1 and Aurora-A was the most significant independent prognostic factor for OS and RFS. Furthermore, the concomitant high expression of FOXM1 and Aurora-A predicted the worst OS of sorafenib-treated patients with HCC.

CONCLUSIONS

The co-expression of FOXM1 and Aurora-A could be a reliable biomarker to predict the sorafenib response and prognosis of HCC patients.

摘要

背景

为改善肝细胞癌(HCC)的治疗效果,需要有效的预后生物标志物和有效的靶向治疗药物。

目的

本研究旨在评估 FOXM1 和 Aurora-A 的表达及其在 HCC 中的预后价值。

方法

我们使用基因集富集分析(GSEA)确定 HCC 中差异表达的基因特征,然后评估 TCGA 和 KMUH 队列中 FOXM1 和 Aurora-A 的表达。计算 FOXM1 和 Aurora-A 共表达与临床变量之间的关联。根据不同的 FOXM1 和 Aurora-A 表达状态评估总生存期(OS)和无复发生存期(RFS)。

结果

FOXM1 相关基因集在 HCC 组织中与细胞周期调节关系最为密切。我们发现 FOXM1 和 Aurora-A 的表达呈正相关。FOXM1 和 Aurora-A 的过表达与肿瘤体积较大、分期较晚、分级较高以及 HBV 和 HCV 双阳性有关。FOXM1 和 Aurora-A 的协同过表达是 OS 和 RFS 的最显著独立预后因素。此外,FOXM1 和 Aurora-A 的同时高表达预示着 HCC 索拉非尼治疗患者的 OS 最差。

结论

FOXM1 和 Aurora-A 的共表达可以作为预测 HCC 患者索拉非尼反应和预后的可靠生物标志物。

https://cdn.ncbi.nlm.nih.gov/pmc/blobs/8365/7458516/7e29d11d21f7/cbm-28-cbm190507-g0s1.jpg

文献检索

告别复杂PubMed语法,用中文像聊天一样搜索,搜遍4000万医学文献。AI智能推荐,让科研检索更轻松。

立即免费搜索

文件翻译

保留排版,准确专业,支持PDF/Word/PPT等文件格式,支持 12+语言互译。

免费翻译文档

深度研究

AI帮你快速写综述,25分钟生成高质量综述,智能提取关键信息,辅助科研写作。

立即免费体验