Suppr超能文献

添加海盐和干酵母减钠对小麦粉面团流变学特性的影响。

The Effect of Sodium Reduction by Sea Salt and Dry Sourdough Addition on the Wheat Flour Dough Rheological Properties.

作者信息

Voinea Andreea, Stroe Silviu-Gabriel, Codină Georgiana Gabriela

机构信息

Faculty of Food Engineering, Stefan cel Mare University of Suceava, 720229 Suceava, Romania.

出版信息

Foods. 2020 May 10;9(5):610. doi: 10.3390/foods9050610.

Abstract

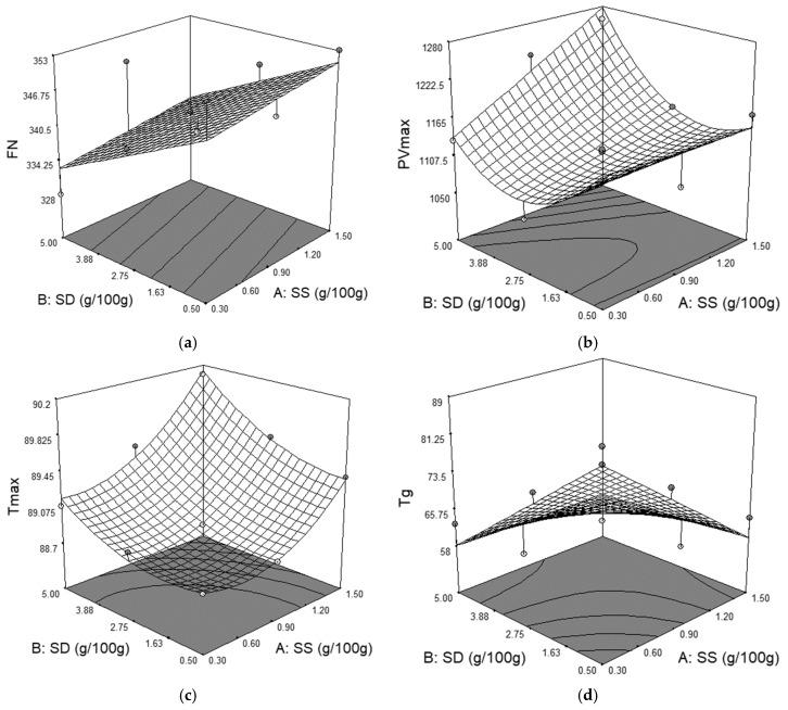
The aim of this research was to investigate a technological approach to decrease the sodium content from bakery products in order to respond to the World Health Organization (WHO)'s recommendation to reduce dietary salt intake. Due to the fact that sodium chloride is one of the main ingredients from baking products that affects dough rheology and therefore the technological process of the bakery products, it is important to evaluate these properties. This study analyzes the effect of sea salt with low sodium content (SS) and dry sourdough from wheat flour (SD) as substitutes for sodium chloride on dough rheological properties and on mixing, extension, pasting, and fermentation process by using Farinograph, Extensograph, Amylograph, Falling Number, and Rheofermentometer devices. The results were analyzed using response surface methodology. SS presented a strengthening effect on the gluten network whereas SD presented a weakening one. On extension properties, SS and SD presented a significant positive effect ( < 0.01) on resistance to extension (R) and maximum resistance to extension (R) values. For pasting properties, SS increased peak viscosity and falling number values whereas SD decreased them. On fermentation properties, SS decreased the maximum height of gaseous production and total CO volume production and increased the retention coefficient whereas SD presented an antagonistic effect on these parameters.

摘要

本研究的目的是探究一种降低烘焙食品钠含量的技术方法,以响应世界卫生组织(WHO)关于减少膳食盐摄入量的建议。由于氯化钠是影响面团流变学进而影响烘焙产品工艺过程的烘焙产品主要成分之一,因此评估这些特性很重要。本研究通过使用粉质仪、拉伸仪、淀粉糊化仪、降落数值仪和流变发酵仪,分析了低钠海盐(SS)和小麦粉干酸面团(SD)作为氯化钠替代品对面团流变特性以及对面团搅拌、拉伸、糊化和发酵过程的影响。使用响应面法对结果进行了分析。SS对面筋网络有强化作用,而SD有弱化作用。在拉伸特性方面,SS和SD对拉伸阻力(R)和最大拉伸阻力(R)值有显著的正向影响(<0.01)。对于糊化特性,SS提高了峰值粘度和降落数值,而SD则降低了这些值。在发酵特性方面,SS降低了产气的最大高度和总二氧化碳体积产量,并提高了保留系数,而SD对这些参数呈现出相反的影响。

https://cdn.ncbi.nlm.nih.gov/pmc/blobs/f1ef/7278690/4a2dbfc849d4/foods-09-00610-g001.jpg

文献AI研究员

20分钟写一篇综述,助力文献阅读效率提升50倍。

立即体验

用中文搜PubMed

大模型驱动的PubMed中文搜索引擎

马上搜索

文档翻译

学术文献翻译模型,支持多种主流文档格式。

立即体验