Suppr超能文献

原发性全身治疗后乳腺癌肿瘤浸润淋巴细胞亚群的变化及其预后价值。

Changes and prognostic values of tumor-infiltrating lymphocyte subsets after primary systemic therapy in breast cancer.

机构信息

Department of Pathology, Seoul National University Bundang Hospital, Seongnam, Gyeonggi, Republic of Korea.

Department of Pathology, Seoul National University College of Medicine, Seoul, Republic of Korea.

出版信息

PLoS One. 2020 May 13;15(5):e0233037. doi: 10.1371/journal.pone.0233037. eCollection 2020.

Abstract

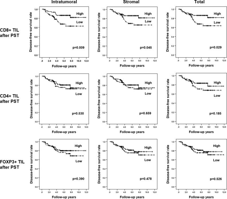
Tumor-infiltrating lymphocyte (TIL) levels have prognostic and predictive values in treatment-naïve breast cancers. However, there have been controversies regarding TIL subset changes and their clinical implications in post-treatment breast cancers. This study aimed to explore change and prognostic significance of TIL subset infiltration after primary systemic therapy (PST) in breast cancer. One-hundred-fifty-five patients who had residual disease after anthracycline- or anthracycline plus taxane-based PST were included. The quantities of intratumoral and stromal TIL subsets (CD8+, CD4+, and FOXP3+ TILs) in pre- and post-PST breast cancer samples, as well as changes between them, were analyzed along with their correlations with clinicopathologic features and outcome of patients. As a whole, intratumoral CD8+ and CD4+ TILs increased after PST while stromal TILs decreased. Both intratumoral and stromal FOXP3+ TILs decreased after PST. The chemo-sensitive group [residual cancer burden (RCB) class I and II] showed the same pattern of change in intratumoral CD8+ TILs as the whole group, whereas the chemo-resistant group (RCB class III) showed no significant change in intratumoral CD8+ TIL infiltration after PST. Survival analyses for each TIL subset as well as their ratios revealed that high levels of intratumoral, stromal, and total CD8+ TIL infiltration after PST were independent predictors of longer patient survival. In subgroup analyses, CD8+ TIL infiltration after PST revealed prognostic significance in the chemo-resistant group but not in the chemo-sensitive group. In conclusion, infiltration of CD8+, CD4+, and FOXP3+ TIL changed after PST in the intratumoral and stromal compartments. Especially, increase of intratumoral CD8+ TILs was associated with chemo-responsiveness. Moreover, CD8+ TIL status in residual tumors after PST may be used as a potential prognostic marker in breast cancer patients who receive PST and provide additional prognostic information to chemo-resistant group.

摘要

肿瘤浸润淋巴细胞(TIL)水平在未经治疗的乳腺癌中有预后和预测价值。然而,在治疗后的乳腺癌中,关于 TIL 亚群的变化及其临床意义一直存在争议。本研究旨在探讨原发性全身治疗(PST)后乳腺癌中 TIL 亚群浸润的变化及其预后意义。共纳入 155 例接受蒽环类或蒽环类联合紫杉烷类 PST 后仍有残留疾病的患者。分析了 PST 前后乳腺癌样本中肿瘤内和基质中 TIL 亚群(CD8+、CD4+和 FOXP3+TIL)的数量及其变化,并分析了它们与临床病理特征和患者预后的关系。整体而言,PST 后肿瘤内 CD8+和 CD4+TIL 增加,而基质 TIL 减少。PST 后肿瘤内和基质内 FOXP3+TIL 均减少。化疗敏感组(残留肿瘤负荷(RCB)I 级和 II 级)与全组一样,肿瘤内 CD8+TIL 的变化模式相同,而化疗耐药组(RCB 级 III 级)PST 后肿瘤内 CD8+TIL 浸润无明显变化。对每个 TIL 亚群及其比值的生存分析显示,PST 后肿瘤内、基质内和总 CD8+TIL 浸润水平较高是患者生存时间延长的独立预测因素。亚组分析显示,PST 后 CD8+TIL 浸润在化疗耐药组中有预后意义,但在化疗敏感组中无预后意义。总之,PST 后肿瘤内和基质内 CD8+、CD4+和 FOXP3+TIL 浸润发生变化。特别是肿瘤内 CD8+TIL 增加与化疗反应性相关。此外,PST 后残留肿瘤中 CD8+TIL 状态可作为接受 PST 的乳腺癌患者的潜在预后标志物,并为化疗耐药组提供额外的预后信息。

https://cdn.ncbi.nlm.nih.gov/pmc/blobs/f1c8/7219779/ed9cdc7d31df/pone.0233037.g001.jpg

文献AI研究员

20分钟写一篇综述,助力文献阅读效率提升50倍。

立即体验

用中文搜PubMed

大模型驱动的PubMed中文搜索引擎

马上搜索

文档翻译

学术文献翻译模型,支持多种主流文档格式。

立即体验