• 文献检索
  • 文档翻译
  • 深度研究
  • 学术资讯
  • Suppr Zotero 插件Zotero 插件
  • 邀请有礼
  • 套餐&价格
  • 历史记录
应用&插件
Suppr Zotero 插件Zotero 插件浏览器插件Mac 客户端Windows 客户端微信小程序
定价
高级版会员购买积分包购买API积分包
服务
文献检索文档翻译深度研究API 文档MCP 服务
关于我们
关于 Suppr公司介绍联系我们用户协议隐私条款
关注我们

Suppr 超能文献

核心技术专利:CN118964589B侵权必究
粤ICP备2023148730 号-1Suppr @ 2026

文献检索

告别复杂PubMed语法,用中文像聊天一样搜索,搜遍4000万医学文献。AI智能推荐,让科研检索更轻松。

立即免费搜索

文件翻译

保留排版,准确专业,支持PDF/Word/PPT等文件格式,支持 12+语言互译。

免费翻译文档

深度研究

AI帮你快速写综述,25分钟生成高质量综述,智能提取关键信息,辅助科研写作。

立即免费体验

在患者搬运任务中使用实时生物反馈来减少腰椎前屈。

Reducing lumbar spine flexion using real-time biofeedback during patient handling tasks.

机构信息

Toronto Rehabilitation Institute, University Health Network, ON, Canada.

Department of Mechanical and Industrial Engineering, University of Toronto, ON, Canada.

出版信息

Work. 2020;66(1):41-51. doi: 10.3233/WOR-203149.

DOI:10.3233/WOR-203149
PMID:32417812
原文链接:https://pmc.ncbi.nlm.nih.gov/articles/PMC7369082/
Abstract

BACKGROUND

Patient handling activities require caregivers to adopt postures that increase the risk of back injury. Training programs relying primarily on didactic methods have been shown to be ineffective at reducing this risk. The use of real-time biofeedback has potential as an alternative training method.

OBJECTIVE

To investigate the effect of real-time biofeedback on time spent by caregivers in end-range lumbar spine flexion.

METHODS

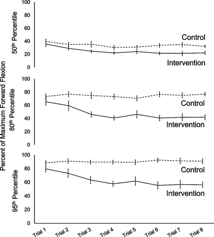
Novice participants were divided into intervention (n = 10) and control (n = 10) groups and were asked to perform a set of simulated care activities eight times on two consecutive days. Individuals in the intervention group watched a training video on safer movement strategies and received real-time auditory feedback from a wearable device (PostureCoach) in four training trials whenever their lumbar spine flexion exceeded a threshold (70% of maximum flexion). Changes in end-range lumbar spine flexion were compared between groups and across trials.

RESULTS

Participants in the intervention group saw reductions in end-range lumbar spine flexion during the simulated patient handling tasks at the end of the training compared to their baseline trials while there was no change for the control group.

CONCLUSIONS

The training program including PostureCoach has the potential to help caregivers learn to use safer postures that reduce the risk of back injury.

摘要

背景

患者搬运活动需要护理人员采取增加背部受伤风险的姿势。已证明主要依赖于说教方法的培训计划在降低这种风险方面效果不佳。实时生物反馈作为一种替代培训方法具有潜力。

目的

研究实时生物反馈对护理人员在腰椎伸展终末范围所花费时间的影响。

方法

将新手参与者分为干预组(n = 10)和对照组(n = 10),并要求他们在连续两天内完成一组模拟护理活动八次。干预组的个人观看了有关更安全运动策略的培训视频,并在穿戴式设备(PostureCoach)中接收到实时听觉反馈,每当他们的腰椎伸展超过阈值(最大伸展的 70%)时,就会收到反馈。比较组间和试验间终末腰椎伸展的变化。

结果

与基线试验相比,干预组在培训结束时在模拟患者搬运任务中观察到终末腰椎伸展的减少,而对照组则没有变化。

结论

包括 PostureCoach 的培训计划有可能帮助护理人员学习使用更安全的姿势,从而降低背部受伤的风险。

https://cdn.ncbi.nlm.nih.gov/pmc/blobs/0f29/7369082/130540728b5a/wor-66-wor203149-g008.jpg
https://cdn.ncbi.nlm.nih.gov/pmc/blobs/0f29/7369082/2fbd67923e8a/wor-66-wor203149-g001.jpg
https://cdn.ncbi.nlm.nih.gov/pmc/blobs/0f29/7369082/37e6ece376fc/wor-66-wor203149-g002.jpg
https://cdn.ncbi.nlm.nih.gov/pmc/blobs/0f29/7369082/611d17980b54/wor-66-wor203149-g003.jpg
https://cdn.ncbi.nlm.nih.gov/pmc/blobs/0f29/7369082/35d06413c926/wor-66-wor203149-g004.jpg
https://cdn.ncbi.nlm.nih.gov/pmc/blobs/0f29/7369082/e03e1deda374/wor-66-wor203149-g005.jpg
https://cdn.ncbi.nlm.nih.gov/pmc/blobs/0f29/7369082/a33eda54d4f0/wor-66-wor203149-g006.jpg
https://cdn.ncbi.nlm.nih.gov/pmc/blobs/0f29/7369082/55e6024c897a/wor-66-wor203149-g007.jpg
https://cdn.ncbi.nlm.nih.gov/pmc/blobs/0f29/7369082/130540728b5a/wor-66-wor203149-g008.jpg
https://cdn.ncbi.nlm.nih.gov/pmc/blobs/0f29/7369082/2fbd67923e8a/wor-66-wor203149-g001.jpg
https://cdn.ncbi.nlm.nih.gov/pmc/blobs/0f29/7369082/37e6ece376fc/wor-66-wor203149-g002.jpg
https://cdn.ncbi.nlm.nih.gov/pmc/blobs/0f29/7369082/611d17980b54/wor-66-wor203149-g003.jpg
https://cdn.ncbi.nlm.nih.gov/pmc/blobs/0f29/7369082/35d06413c926/wor-66-wor203149-g004.jpg
https://cdn.ncbi.nlm.nih.gov/pmc/blobs/0f29/7369082/e03e1deda374/wor-66-wor203149-g005.jpg
https://cdn.ncbi.nlm.nih.gov/pmc/blobs/0f29/7369082/a33eda54d4f0/wor-66-wor203149-g006.jpg
https://cdn.ncbi.nlm.nih.gov/pmc/blobs/0f29/7369082/55e6024c897a/wor-66-wor203149-g007.jpg
https://cdn.ncbi.nlm.nih.gov/pmc/blobs/0f29/7369082/130540728b5a/wor-66-wor203149-g008.jpg

相似文献

1
Reducing lumbar spine flexion using real-time biofeedback during patient handling tasks.在患者搬运任务中使用实时生物反馈来减少腰椎前屈。
Work. 2020;66(1):41-51. doi: 10.3233/WOR-203149.
2
Evaluating a wearable biofeedback device for reducing end-range sagittal lumbar spine flexion among home caregivers.评估可穿戴生物反馈设备对减少居家照护者腰椎矢状面末端前屈活动度的效果。
Appl Ergon. 2021 Nov;97:103547. doi: 10.1016/j.apergo.2021.103547. Epub 2021 Aug 5.
3
Influencing lumbar posture through real-time biofeedback and its effects on the kinematics and kinetics of a repetitive lifting task.通过实时生物反馈影响腰椎姿势及其对重复性举重任务运动学和动力学的影响。
Gait Posture. 2019 Sep;73:93-100. doi: 10.1016/j.gaitpost.2019.07.127. Epub 2019 Jul 3.
4
Assessment of the Acute Effects of Wearable Sensor Derived Auditory Biofeedback on Gross Lumbar Proprioception.评估可穿戴传感器衍生听觉生物反馈对腰椎粗感觉的急性影响。
J Mot Behav. 2024;56(5):614-625. doi: 10.1080/00222895.2024.2370946. Epub 2024 Jul 9.
5
Wearable technology mediated biofeedback to modulate spine motor control: a scoping review.可穿戴技术介导的生物反馈调节脊柱运动控制:一项范围综述
BMC Musculoskelet Disord. 2024 Oct 1;25(1):770. doi: 10.1186/s12891-024-07867-3.
6
Reducing patient handling injuries through contextual training.通过情境培训减少患者搬运损伤
J Emerg Nurs. 2009 Nov;35(6):504-8. doi: 10.1016/j.jen.2008.10.017. Epub 2009 Feb 24.
7
Movement-based feedback may reduce spinal moments in male workers during lift and lowering tasks.基于运动的反馈可能会减少男性工人在搬运和放下任务期间的脊柱力矩。
Physiother Res Int. 2006 Sep;11(3):140-7. doi: 10.1002/pri.335.
8
Immediate effects of real-time postural biofeedback on spinal posture, muscle activity, and perceived pain severity in adults with neck pain.实时姿势生物反馈对颈部疼痛成人脊柱姿势、肌肉活动及感知疼痛严重程度的即时影响。
Gait Posture. 2019 Jan;67:187-193. doi: 10.1016/j.gaitpost.2018.10.021. Epub 2018 Oct 15.
9
Lumbar spine side bending is reduced in end range extension compared to neutral and end range flexion postures.与中立位和终末范围屈曲姿势相比,腰椎在终末范围伸展时的侧屈减少。
Man Ther. 2014 Apr;19(2):114-8. doi: 10.1016/j.math.2013.08.004. Epub 2013 Sep 4.
10
The Improvement of Dental Posture Using Personalized Biofeedback.使用个性化生物反馈改善牙齿姿势。
Stud Health Technol Inform. 2015;216:756-60.

引用本文的文献

1
Varying effectiveness of real-time biofeedback across various activities in preserving lumbar Lordotic curvature using an inertial measurement system.使用惯性测量系统时,实时生物反馈在不同活动中保持腰椎前凸曲度方面的效果各异。
Sci Rep. 2025 May 26;15(1):18421. doi: 10.1038/s41598-025-02105-9.
2
Innovative Approaches for the Treatment of Spinal Disorders: A Comprehensive Review.脊柱疾病治疗的创新方法:全面综述
J Orthop Sports Med. 2025;7(1):144-161. doi: 10.26502/josm.511500190. Epub 2025 Mar 27.
3
Paramedics' Behavior Patterns When Transferring Non-Mobile Patients from the Ground to a Stretcher.

本文引用的文献

1
A comparison of augmented feedback and didactic training approaches to reduce spine motion during occupational lifting tasks.比较增强反馈和说教式培训方法以减少职业举升任务中的脊柱运动。
Appl Ergon. 2022 Feb;99:103612. doi: 10.1016/j.apergo.2021.103612. Epub 2021 Oct 29.
2
Bathing frail seniors at home: Home care providers' approaches.在家为体弱老人洗澡:家庭护理人员的方法。
Work. 2020;66(3):499-517. doi: 10.3233/WOR-203213.
3
Evaluation of implicit associations between back posture and safety of bending and lifting in people without pain.
护理人员将非移动患者从地面转移至担架时的行为模式。
Healthcare (Basel). 2025 Mar 12;13(6):611. doi: 10.3390/healthcare13060611.
4
Effectiveness of Sensors-Based Augmented Feedback in Ergonomics to Reduce Adverse Biomechanical Exposure in Work-Related Manual Handling-A Rapid Review of the Evidence.基于传感器的增强反馈在人体工程学中减少与工作相关的手动搬运中不良生物力学暴露的有效性:证据快速综述。
Sensors (Basel). 2024 Oct 30;24(21):6977. doi: 10.3390/s24216977.
5
Using wearable technology for Posture Regulation to Improve Surgical Ergonomics in the paediatric operating room: the UPRISE trial: a pilot study.使用可穿戴技术进行姿势调节,以改善儿科手术室的手术人体工程学:UPRISE 试验:一项初步研究。
Surg Endosc. 2024 Aug;38(8):4445-4456. doi: 10.1007/s00464-024-10933-5. Epub 2024 Jun 20.
6
A Rapid Review on the Effectiveness and Use of Wearable Biofeedback Motion Capture Systems in Ergonomics to Mitigate Adverse Postures and Movements of the Upper Body.穿戴式生物反馈动作捕捉系统在人体工效学中缓解上半身不良姿势和动作的有效性和使用的快速综述。
Sensors (Basel). 2024 May 23;24(11):3345. doi: 10.3390/s24113345.
7
Lumbo-Pelvic Rhythm Monitoring Using Wearable Technology with Sensory Biofeedback: A Systematic Review.使用可穿戴技术结合感觉生物反馈进行腰骨盆节律监测:一项系统评价
Healthcare (Basel). 2024 Mar 30;12(7):758. doi: 10.3390/healthcare12070758.
8
Wearables for Monitoring and Postural Feedback in the Work Context: A Scoping Review.可穿戴设备在工作环境中的监测和姿势反馈:范围综述。
Sensors (Basel). 2024 Feb 19;24(4):1341. doi: 10.3390/s24041341.
9
Advances in objective assessment of ergonomics in endoscopic surgery: a review.内镜手术工效学客观评估的研究进展:综述。
Front Public Health. 2024 Jan 5;11:1281194. doi: 10.3389/fpubh.2023.1281194. eCollection 2023.
10
The Effect of Corrective and Encouraging Accumulated Vibrotactile Feedback on Work Technique Training and Motivation-A Pilot Study.纠正性和鼓励性累积振动触觉反馈对工作技术训练及动机的影响——一项初步研究
Int J Environ Res Public Health. 2023 Sep 11;20(18):6741. doi: 10.3390/ijerph20186741.
无痛人群中背部姿势与弯腰和举重物安全性之间的隐性关联评估。
Scand J Pain. 2018 Oct 25;18(4):719-728. doi: 10.1515/sjpain-2018-0056.
4
Awkward trunk postures and their relationship with low back pain in hospital nurses.医院护士的笨拙躯干姿势及其与腰痛的关系。
Work. 2018;59(3):317-323. doi: 10.3233/WOR-182683.
5
Using verbal instructions to influence lifting mechanics - Does the directive "lift with your legs, not your back" attenuate spinal flexion?使用言语指令来影响举重力学——“用腿部而非背部举重”的指令是否能减轻脊柱前屈?
J Electromyogr Kinesiol. 2018 Feb;38:1-6. doi: 10.1016/j.jelekin.2017.10.008. Epub 2017 Oct 31.
6
Implicit evaluations and physiological threat responses in people with persistent low back pain and fear of bending.持续性下背痛且害怕弯腰人群的内隐评估与生理威胁反应
Scand J Pain. 2017 Oct;17:355-366. doi: 10.1016/j.sjpain.2017.09.012. Epub 2017 Oct 12.
7
Assisting Frail Seniors With Toileting in a Home Bathroom: Approaches Used by Home Care Providers.协助家中浴室虚弱老年人如厕:家庭护理提供者使用的方法。
J Appl Gerontol. 2019 May;38(5):717-749. doi: 10.1177/0733464817702477. Epub 2017 May 1.
8
Spine loading during the application and removal of lifting slings: the effects of patient weight, bed height and work method.使用和移除吊索过程中的脊柱负荷:患者体重、床高和工作方法的影响。
Ergonomics. 2017 May;60(5):636-648. doi: 10.1080/00140139.2016.1211750. Epub 2016 Jul 25.
9
Safety risks associated with physical interactions between patients and caregivers during treatment and care delivery in Home Care settings: A systematic review.家庭护理环境中治疗和护理过程中患者与护理人员之间身体相互作用相关的安全风险:系统评价。
Int J Nurs Stud. 2016 Jul;59:1-14. doi: 10.1016/j.ijnurstu.2016.02.011. Epub 2016 Feb 22.
10
iLift: A health behavior change support system for lifting and transfer techniques to prevent lower-back injuries in healthcare.iLift:一种用于提升和转移技术的健康行为改变支持系统,以预防医疗保健中的下背部损伤。
Int J Med Inform. 2016 Dec;96:11-23. doi: 10.1016/j.ijmedinf.2015.12.006. Epub 2016 Jan 4.