• 文献检索
  • 文档翻译
  • 深度研究
  • 学术资讯
  • Suppr Zotero 插件Zotero 插件
  • 邀请有礼
  • 套餐&价格
  • 历史记录
应用&插件
Suppr Zotero 插件Zotero 插件浏览器插件Mac 客户端Windows 客户端微信小程序
定价
高级版会员购买积分包购买API积分包
服务
文献检索文档翻译深度研究API 文档MCP 服务
关于我们
关于 Suppr公司介绍联系我们用户协议隐私条款
关注我们

Suppr 超能文献

核心技术专利:CN118964589B侵权必究
粤ICP备2023148730 号-1Suppr @ 2026

文献检索

告别复杂PubMed语法,用中文像聊天一样搜索,搜遍4000万医学文献。AI智能推荐,让科研检索更轻松。

立即免费搜索

文件翻译

保留排版,准确专业,支持PDF/Word/PPT等文件格式,支持 12+语言互译。

免费翻译文档

深度研究

AI帮你快速写综述,25分钟生成高质量综述,智能提取关键信息,辅助科研写作。

立即免费体验

中国沈阳市各因素对 PM 的单向因果影响。

The unidirectional causality influence of factors on PM in Shenyang city of China.

机构信息

Institute for Mathematical Sciences, Renmin University of China, Beijing, 100872, China.

Department of mathematics, Changji University, Xinjiang, 831100, China.

出版信息

Sci Rep. 2020 May 21;10(1):8403. doi: 10.1038/s41598-020-65391-5.

DOI:10.1038/s41598-020-65391-5
PMID:32439904
原文链接:https://pmc.ncbi.nlm.nih.gov/articles/PMC7242410/
Abstract

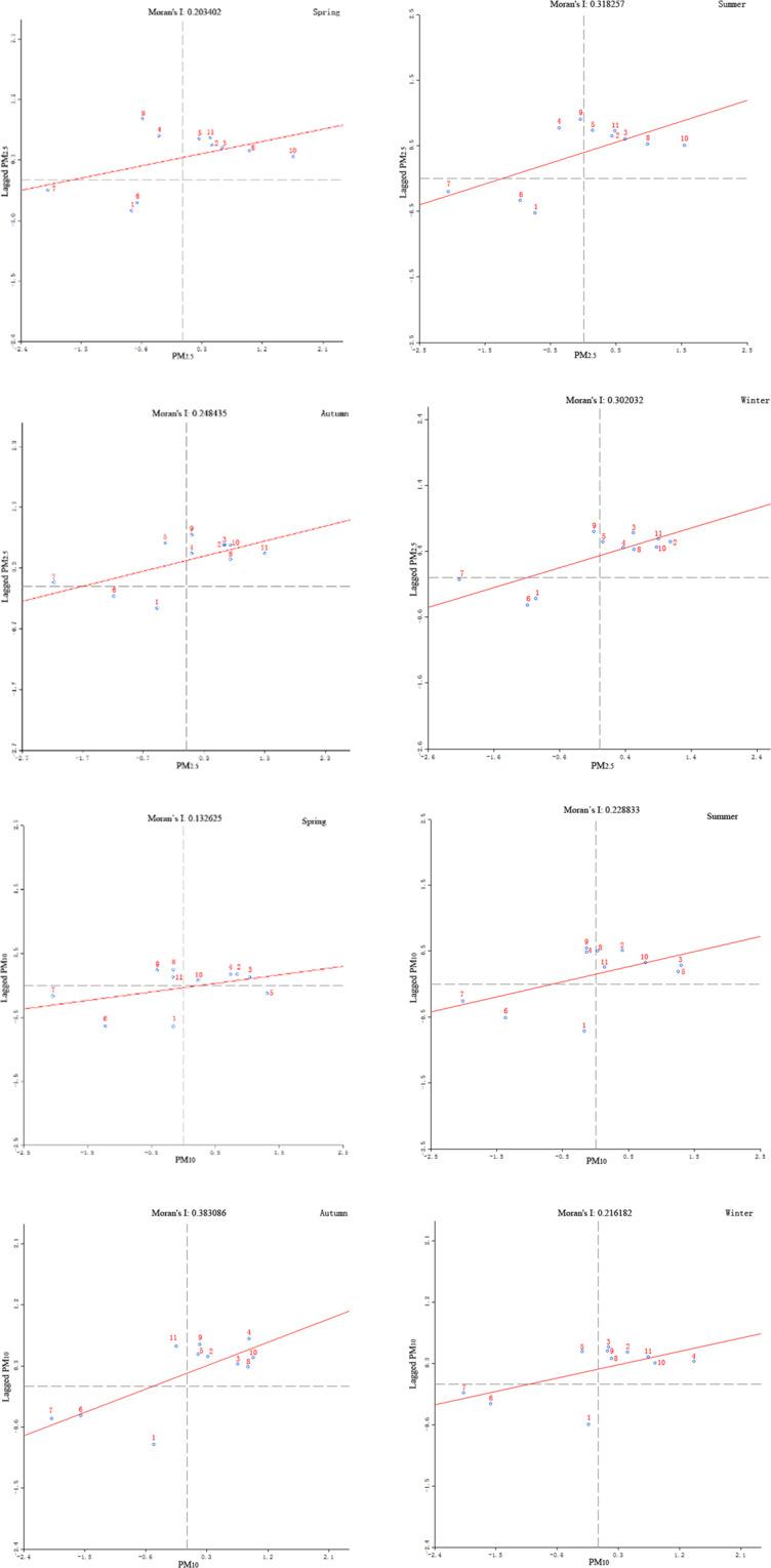
Air quality issue such as particulate matter pollution (PM and PM) has become one of the biggest environmental problem in China. As one of the most important industrial base and economic core regions of China, Northeast China is facing serious air pollution problems in recent years, which has a profound impact on the health of local residents and atmospheric environment in some part of East Asia. Therefore, it is urgent to understand temporal-spatial characteristics of particles and analyze the causality factors. The results demonstrated that variation trend of particles was almost similar, the annual, monthly and daily distribution had their own characteristics. Particles decreased gradually from south to north, from west to east. Correlation analysis showed that wind speed was the most important factor affecting particles, and temperature, air pressure and relative humidity were key factors in some seasons. Path analysis showed that there was complex unidirectional causal relationship between particles and individual or combined effects, and NO and CO were key factors affecting PM. The hot and cold areas changed little with the seasons. All the above results suggests that planning the industrial layout, adjusting industrial structure, joint prevention and control were necessary measure to reduce particles concentration.

摘要

空气质量问题,如颗粒物污染(PM 和 PM),已成为中国最大的环境问题之一。作为中国最重要的工业基地和经济核心地区之一,近年来东北地区面临着严重的空气污染问题,这对当地居民的健康和东亚部分地区的大气环境产生了深远的影响。因此,迫切需要了解颗粒物的时空特征并分析因果因素。结果表明,颗粒物的变化趋势几乎相似,其年度、月度和日度分布都有其自身的特点。颗粒物从南到北、从西到东逐渐减少。相关分析表明,风速是影响颗粒物最重要的因素,而温度、气压和相对湿度在某些季节是关键因素。路径分析表明,颗粒物与个别或综合影响之间存在复杂的单向因果关系,NO 和 CO 是影响 PM 的关键因素。热点和冷点区域随季节变化很小。所有上述结果表明,规划工业布局、调整产业结构、联合防控是降低颗粒物浓度的必要措施。

https://cdn.ncbi.nlm.nih.gov/pmc/blobs/3b3c/7242410/11bcf66e2b8d/41598_2020_65391_Fig7_HTML.jpg
https://cdn.ncbi.nlm.nih.gov/pmc/blobs/3b3c/7242410/fa688e963091/41598_2020_65391_Fig1_HTML.jpg
https://cdn.ncbi.nlm.nih.gov/pmc/blobs/3b3c/7242410/ff3e3c80a9fb/41598_2020_65391_Fig2_HTML.jpg
https://cdn.ncbi.nlm.nih.gov/pmc/blobs/3b3c/7242410/b5c71c84a4c9/41598_2020_65391_Fig3_HTML.jpg
https://cdn.ncbi.nlm.nih.gov/pmc/blobs/3b3c/7242410/c632c31dffe4/41598_2020_65391_Fig4_HTML.jpg
https://cdn.ncbi.nlm.nih.gov/pmc/blobs/3b3c/7242410/e0dea93ae565/41598_2020_65391_Fig5_HTML.jpg
https://cdn.ncbi.nlm.nih.gov/pmc/blobs/3b3c/7242410/ec21b40727f3/41598_2020_65391_Fig6_HTML.jpg
https://cdn.ncbi.nlm.nih.gov/pmc/blobs/3b3c/7242410/11bcf66e2b8d/41598_2020_65391_Fig7_HTML.jpg
https://cdn.ncbi.nlm.nih.gov/pmc/blobs/3b3c/7242410/fa688e963091/41598_2020_65391_Fig1_HTML.jpg
https://cdn.ncbi.nlm.nih.gov/pmc/blobs/3b3c/7242410/ff3e3c80a9fb/41598_2020_65391_Fig2_HTML.jpg
https://cdn.ncbi.nlm.nih.gov/pmc/blobs/3b3c/7242410/b5c71c84a4c9/41598_2020_65391_Fig3_HTML.jpg
https://cdn.ncbi.nlm.nih.gov/pmc/blobs/3b3c/7242410/c632c31dffe4/41598_2020_65391_Fig4_HTML.jpg
https://cdn.ncbi.nlm.nih.gov/pmc/blobs/3b3c/7242410/e0dea93ae565/41598_2020_65391_Fig5_HTML.jpg
https://cdn.ncbi.nlm.nih.gov/pmc/blobs/3b3c/7242410/ec21b40727f3/41598_2020_65391_Fig6_HTML.jpg
https://cdn.ncbi.nlm.nih.gov/pmc/blobs/3b3c/7242410/11bcf66e2b8d/41598_2020_65391_Fig7_HTML.jpg

相似文献

1
The unidirectional causality influence of factors on PM in Shenyang city of China.中国沈阳市各因素对 PM 的单向因果影响。
Sci Rep. 2020 May 21;10(1):8403. doi: 10.1038/s41598-020-65391-5.
2
[Temporal and spatial distribution of PM2.5 and PM10 pollution status and the correlation of particulate matters and meteorological factors during winter and spring in Beijing].北京冬春季节PM2.5和PM10污染状况的时空分布及颗粒物与气象因素的相关性
Huan Jing Ke Xue. 2014 Feb;35(2):418-27.
3
Study on the Spatial and Temporal Distribution Characteristics and Influencing Factors of Particulate Matter Pollution in Coal Production Cities in China.中国煤炭生产城市颗粒物污染的时空分布特征及影响因素研究
Int J Environ Res Public Health. 2022 Mar 9;19(6):3228. doi: 10.3390/ijerph19063228.
4
Model elucidating the sources and formation mechanisms of severe haze pollution over Northeast mega-city cluster in China.中国东北特大城市群重霾污染的来源和形成机制模型。
Environ Pollut. 2017 Nov;230:692-700. doi: 10.1016/j.envpol.2017.06.007. Epub 2017 Jul 14.
5
Spatial and temporal characteristics of air quality and air pollutants in 2013 in Beijing.2013年北京空气质量及空气污染物的时空特征
Environ Sci Pollut Res Int. 2016 Jul;23(14):13996-4007. doi: 10.1007/s11356-016-6518-3. Epub 2016 Apr 4.
6
Spatial distribution differences in PM concentration between heating and non-heating seasons in Beijing, China.中国北京供暖季和非供暖季 PM 浓度的空间分布差异。
Environ Pollut. 2019 May;248:574-583. doi: 10.1016/j.envpol.2019.01.002. Epub 2019 Jan 22.
7
Understanding the Patterns and Drivers of Air Pollution on Multiple Time Scales: The Case of Northern China.理解大气污染在多个时间尺度上的模式和驱动因素:以中国北方为例。
Environ Manage. 2018 Jun;61(6):1048-1061. doi: 10.1007/s00267-018-1026-5. Epub 2018 Mar 21.
8
National air pollution distribution in China and related geographic, gaseous pollutant, and socio-economic factors.中国的国家空气污染分布及相关地理、气态污染物和社会经济因素。
Environ Pollut. 2019 Jul;250:998-1009. doi: 10.1016/j.envpol.2019.03.075. Epub 2019 Apr 1.
9
Air pollutant emission characteristics and HYSPLIT model analysis during heating period in Shenyang, China.中国沈阳供暖期大气污染物排放特征及 HYSPLIT 模式分析。
Environ Monit Assess. 2020 Dec 14;193(1):9. doi: 10.1007/s10661-020-08767-4.
10
Analysis of spatio-temporal distribution characteristics and socioeconomic drivers of urban air quality in China.中国城市空气质量的时空分布特征及社会经济驱动因素分析
Chemosphere. 2022 Mar;291(Pt 2):132799. doi: 10.1016/j.chemosphere.2021.132799. Epub 2021 Nov 10.

引用本文的文献

1
Airborne particulate matter integral assessment in Magdalena department, Colombia: Patterns, health impact, and policy management.哥伦比亚马格达莱纳省空气中颗粒物综合评估:模式、健康影响及政策管理
Heliyon. 2024 Aug 15;10(16):e36284. doi: 10.1016/j.heliyon.2024.e36284. eCollection 2024 Aug 30.
2
Long-term exposure to particulate matter on cardiovascular and respiratory diseases in low- and middle-income countries: A systematic review and meta-analysis.长期暴露于中低收入国家的颗粒物对心血管和呼吸道疾病的影响:系统评价和荟萃分析。
Front Public Health. 2023 Mar 28;11:1134341. doi: 10.3389/fpubh.2023.1134341. eCollection 2023.
3
The influence of meteorological factors and terrain on air pollution concentration and migration: a geostatistical case study from Krakow, Poland.
气象因素和地形对空气污染浓度和迁移的影响:来自波兰克拉科夫的地质统计学案例研究。
Sci Rep. 2022 Jun 30;12(1):11050. doi: 10.1038/s41598-022-15160-3.