Department of Chemistry, Norwegian University of Science and Technology (NTNU), N-7491 Trondheim, Norway.
Molecules. 2020 May 18;25(10):2349. doi: 10.3390/molecules25102349.
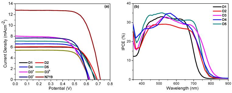
Direct C‒H arylation coupling is potentially a more economical and sustainable process than conventional cross-coupling. However, this method has found limited application in the synthesis of organic dyes for dye‒sensitized solar cells. Although direct C‒H arylation is not an universal solution to any cross-coupling reactions, it efficiently complements conventional sp‒sp bond formation and can provide shorter and more efficient routes to diketopyrrolopyrrole dyes. Here, we have applied palladium catalyzed direct C‒H arylation in the synthesis of five new 3,6-dithienyl diketopyrrolopyrrole dyes. All prepared sensitizers display broad absorption from 350 nm up to 800 nm with high molar extinction coefficients. The dye‒sensitized solar cells based on these dyes exhibit a power conversion efficiency in the range of 2.9 to 3.4%.
直接 C‒H 芳基化偶联相较于传统交叉偶联是一种更经济、更可持续的工艺。然而,这种方法在染料敏化太阳能电池用有机染料的合成中应用有限。尽管直接 C‒H 芳基化不是任何交叉偶联反应的通用解决方案,但它可以有效地补充传统的 sp‒sp 键形成,并为二酮吡咯并吡咯染料提供更短、更有效的途径。在这里,我们在 5 种新型 3,6-二噻吩基二酮吡咯并吡咯染料的合成中应用了钯催化的直接 C‒H 芳基化。所有制备的敏化剂均显示出从 350nm 到 800nm 的宽吸收,具有高摩尔消光系数。基于这些染料的染料敏化太阳能电池的功率转换效率在 2.9%到 3.4%之间。