Suppr超能文献

吡咯烷、哌啶氮氧化物膦酸酯的合成与反应。

Syntheses and Reactions of Pyrroline, Piperidine Nitroxide Phosphonates.

机构信息

Institute of Organic and Medicinal Chemistry, Medical School, University of Pécs, Szigeti st. 12, 7624 Pécs, Hungary.

Department of Chemistry, University of Nyíregyháza, Sóstói st. 31/B, 4440 Nyíregyháza, Hungary.

出版信息

Molecules. 2020 May 22;25(10):2430. doi: 10.3390/molecules25102430.

Abstract

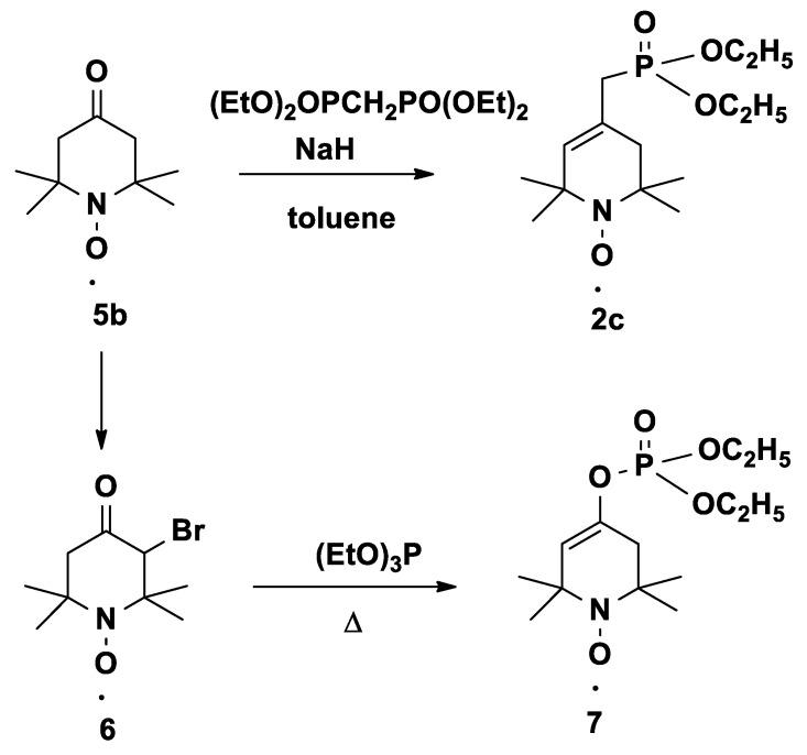
Organophosphorus compounds occupy a significant position among the plethora of organic compounds, but a limited number of paramagnetic phosphorus compounds have been reported, including paramagnetic phosphonates. This paper describes the syntheses and further transformations of pyrroline and piperidine nitroxide phosphonates by well-established methods, such as the Pudovik, Arbuzov and Horner-Wadsworth-Emmons (HWE) reactions. The reaction of paramagnetic a-bromoketone produced a vinylphosphonate in the Perkow reaction. Paramagnetic a-hydroxyphosphonates could be subjected to oxidation, elimination and substitution reactions to produce various paramagnetic phosphonates. The synthesized paramagnetic phosphonates proved to be useful synthetic building blocks for carbon-carbon bond-forming reactions in the Horner-Wadsworth-Emmons olefination reactions. The unsaturated compounds achieved could be transformed into various substituted pyrroline nitroxides, proxyl nitroxides and paramagnetic polyaromatics. The Trolox equivalent antioxidant capacity (TEAC) of new phosphonates was also screened, and tertiary a-hydroxyphosphonatate nitroxides exhibited remarkable antioxidant activity.

摘要

有机磷化合物在众多有机化合物中占有重要地位,但已报道的顺磁磷化合物数量有限,包括顺磁膦酸酯。本文通过成熟的方法,如 Pudovik、Arbuzov 和 Horner-Wadsworth-Emmons (HWE) 反应,描述了吡咯啉和哌啶氮氧自由基膦酸酯的合成及进一步转化。在 Perkow 反应中,顺磁α-溴代酮与磷酰基反应生成乙烯基膦酸酯。顺磁α-羟基膦酸酯可经氧化、消除和取代反应,生成各种顺磁膦酸酯。合成的顺磁膦酸酯被证明是 Horner-Wadsworth-Emmons 烯烃化反应中形成碳-碳键反应的有用的合成砌块。所获得的不饱和化合物可以转化为各种取代的吡咯啉氮氧自由基、普罗布考氮氧自由基和顺磁多芳烃。新的膦酸酯的 Trolox 当量抗氧化能力 (TEAC) 也进行了筛选,叔α-羟基膦酸酯氮氧自由基表现出显著的抗氧化活性。

https://cdn.ncbi.nlm.nih.gov/pmc/blobs/1f61/7287729/c3776ebd3f61/molecules-25-02430-g001.jpg

文献AI研究员

20分钟写一篇综述,助力文献阅读效率提升50倍。

立即体验

用中文搜PubMed

大模型驱动的PubMed中文搜索引擎

马上搜索

文档翻译

学术文献翻译模型,支持多种主流文档格式。

立即体验