Environment and Climate Change Canada, 105 McGill, Montréal, Québec, H2Y 2E7, Canada.
Environ Sci Pollut Res Int. 2020 Aug;27(24):30285-30294. doi: 10.1007/s11356-020-09290-2. Epub 2020 May 26.
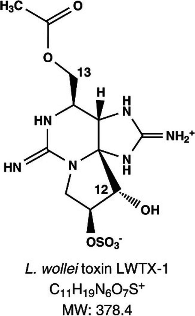
Benthic cyanobacterial mats occurring in the St. Lawrence River fluvial lakes Saint-Louis and Saint-Pierre are dominated by Microseira (Lyngbya) wollei which produce several cyanotoxins including LWTX-1 that is characteristic of Microseira wollei. This cyanotoxin is not only present in the filaments forming benthic mats, but was also measured in the water overlying the mats. LWTX-1 was found in all cyanobacterial filament samples (75.29-103.26 ng mg) and all overlying water samples (3.01-11.03 ng L). Toxin concentrations measured in overlying water and dry biomass were strongly correlated (r = 0.94). Furthermore, LWTX-1 concentration in water was positively correlated with the dissolved organic carbon in water (r = 0.74) and % nitrogen content in cyanobacterial filaments (r = 0.52). A preliminary study was conducted to determine the release and degradation rates of LWTX-1 from a M. wollei mat kept under laboratory conditions over a 3-month period. Toxin measurements revealed an early, massive toxin release followed by a typical decaying function, with a half-life in the order of 17 days. Our results raise concerns about the occurrence and downstream advection of dissolved cyanotoxins from Microseira mats in the aquatic environment. Graphical abstract.
圣路易斯河和圣皮埃尔河的河流湖泊中的底栖蓝藻席由 Microseira (Lyngbya) wollei 主导,后者产生多种蓝藻毒素,包括 LWTX-1,这是 Microseira wollei 的特征毒素。这种蓝藻毒素不仅存在于形成底栖席的丝状藻中,而且还存在于席上覆盖的水中。LWTX-1 存在于所有蓝藻丝状藻样本(75.29-103.26ngmg)和所有上层水样(3.01-11.03ngL)中。上层水样和干生物量中测量的毒素浓度呈强相关性(r=0.94)。此外,水中的 LWTX-1 浓度与水中溶解的有机碳(r=0.74)和蓝藻丝状藻中氮的含量(r=0.52)呈正相关。进行了一项初步研究,以确定在实验室条件下保存的 M. wollei 席在 3 个月内释放和降解 LWTX-1 的速率。毒素测量结果显示,早期会有大量毒素释放,随后是典型的衰减函数,半衰期约为 17 天。我们的研究结果表明,在水生环境中,从 Microseira 席释放并随水流向下游迁移的溶解态蓝藻毒素存在问题。图摘要。