Suppr超能文献

Rlip缺失抑制乳腺癌生长。

Rlip Depletion Suppresses Growth of Breast Cancer.

作者信息

Bose Chhanda, Yadav Sushma, Singhal Sharad S, Singhal Jyotsana, Hindle Ashly, Lee Jihyun, Cheedella Naga K S, Rehman Shabnam, Rahman Rakhshanda Layeequr, Jones Catherine, Darden Meenakshi, Palade Philip T, Berz David, Singh Sharda P, Awasthi Sanjay

机构信息

Department of Internal Medicine, Division of Hematology & Oncology, Texas Tech University Health Sciences Center, Lubbock, TX 79430, USA.

Department of Translational Research and Cellular Therapeutics, City of Hope Comprehensive Cancer Center, Duarte, CA 910102, USA.

出版信息

Cancers (Basel). 2020 Jun 2;12(6):1446. doi: 10.3390/cancers12061446.

Abstract

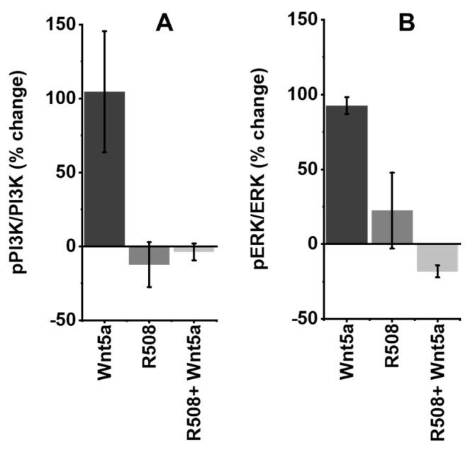
RLIP76 (RAL-binding protein-1, Rlip) is a stress-protective mercapturic-acid-pathway transporter protein that also plays a key role in regulating clathrin-dependent endocytosis as a Ral effector. Targeted inhibition or depletion of Rlip causes regression of xenografts of many cancers and is capable of abrogating tumor formation in p53-null mice. This is associated with the reversion of the abnormal methylomic profile of p53-null mice to wild-type. In a query of The Cancer Genome Atlas (TCGA) databases, we found that Rlip expression was associated with poor survival and with significant differences in the frequencies of mutation, amplification, and deletion, which were the most commonly mutated, amplified, and deleted genes, respectively, among TCGA breast cancer patients. We conducted the present study to further examine the effects of Rlip inhibition and to evaluate the in vitro and in vivo efficacy in breast cancer. Using immunogold electron microscopy, we found that plasma-membrane Rlip was accessible to cell-surface antibodies in the MCF7 (ER+) breast cancer cell line. Rlip depletion resulted in decreased survival of MCF7 and MDA-MB-231 cells and increased terminal deoxynucleotidyl transferase dUTP nick end labeling (TUNEL) positivity and DNA laddering, indicating apoptotic cell death. Additionally, in vitro knockdown of Rlip inhibited EGF endocytosis and WNT/MAPK signaling. Xenograft studies in nude mice showed regression of breast cancer via antisense-mediated depletion of Rlip mRNA as well as by anti-Rlip antibody. Finally, knockdown of Rlip by antisense locked nucleic acid oligonucleotides increased markers for apoptotic signaling and decreased markers for proliferation, angiogenesis, and cell cycling in MCF7 and MDA-MB-231luc xenografts. Our findings validate Rlip as an attractive target in breast cancer.

摘要

RLIP76(RAL结合蛋白-1,Rlip)是一种具有应激保护作用的硫醇尿酸途径转运蛋白,作为Ral效应器,它在调节网格蛋白依赖性内吞作用中也起着关键作用。对Rlip进行靶向抑制或敲除会导致多种癌症异种移植瘤消退,并能够消除p53基因缺失小鼠的肿瘤形成。这与p53基因缺失小鼠异常的甲基化组图谱恢复为野生型有关。在查询癌症基因组图谱(TCGA)数据库时,我们发现Rlip表达与生存率低相关,并且在突变、扩增和缺失频率上存在显著差异,这些分别是TCGA乳腺癌患者中最常发生突变、扩增和缺失的基因。我们开展本研究以进一步检测Rlip抑制的效果,并评估其在乳腺癌中的体外和体内疗效。通过免疫金电子显微镜,我们发现MCF7(雌激素受体阳性)乳腺癌细胞系中的质膜Rlip可被细胞表面抗体识别。敲除Rlip导致MCF7和MDA-MB-231细胞的存活率降低,末端脱氧核苷酸转移酶dUTP缺口末端标记(TUNEL)阳性率增加以及出现DNA梯状条带,表明细胞发生凋亡性死亡。此外,体外敲低Rlip可抑制表皮生长因子(EGF)内吞作用以及WNT/丝裂原活化蛋白激酶(MAPK)信号传导。在裸鼠中进行的异种移植研究表明,通过反义介导的Rlip mRNA敲除以及抗Rlip抗体可使乳腺癌消退。最后,反义锁核酸寡核苷酸敲低Rlip可增加MCF7和MDA-MB-231luc异种移植瘤中凋亡信号标记物,并降低增殖、血管生成和细胞周期标记物。我们的研究结果证实Rlip是乳腺癌中一个有吸引力的靶点。

https://cdn.ncbi.nlm.nih.gov/pmc/blobs/bb82/7352702/9fdec7591ca1/cancers-12-01446-g001.jpg

文献检索

告别复杂PubMed语法,用中文像聊天一样搜索,搜遍4000万医学文献。AI智能推荐,让科研检索更轻松。

立即免费搜索

文件翻译

保留排版,准确专业,支持PDF/Word/PPT等文件格式,支持 12+语言互译。

免费翻译文档

深度研究

AI帮你快速写综述,25分钟生成高质量综述,智能提取关键信息,辅助科研写作。

立即免费体验