• 文献检索
  • 文档翻译
  • 深度研究
  • 学术资讯
  • Suppr Zotero 插件Zotero 插件
  • 邀请有礼
  • 套餐&价格
  • 历史记录
应用&插件
Suppr Zotero 插件Zotero 插件浏览器插件Mac 客户端Windows 客户端微信小程序
定价
高级版会员购买积分包购买API积分包
服务
文献检索文档翻译深度研究API 文档MCP 服务
关于我们
关于 Suppr公司介绍联系我们用户协议隐私条款
关注我们

Suppr 超能文献

核心技术专利:CN118964589B侵权必究
粤ICP备2023148730 号-1Suppr @ 2026

文献检索

告别复杂PubMed语法,用中文像聊天一样搜索,搜遍4000万医学文献。AI智能推荐,让科研检索更轻松。

立即免费搜索

文件翻译

保留排版,准确专业,支持PDF/Word/PPT等文件格式,支持 12+语言互译。

免费翻译文档

深度研究

AI帮你快速写综述,25分钟生成高质量综述,智能提取关键信息,辅助科研写作。

立即免费体验

异构二羧酸配体对一维配位聚合物和金属环形成的影响:一种新型的顺式→反式异构化

Impact of Isomeric Dicarboxylate Ligands on the Formation of One-Dimensional Coordination Polymers and Metallocycles: A Novel cis→trans Isomerization.

作者信息

Chen Kuan-Ting, Hu Ji-Hong, Yang Xiang-Kai, Chen Jhy-Der

机构信息

Department of Chemistry, Chung-Yuan Christian University, Taoyuan City 320, Taiwan.

出版信息

Polymers (Basel). 2020 Jun 3;12(6):1281. doi: 10.3390/polym12061281.

DOI:10.3390/polym12061281
PMID:32503313
原文链接:https://pmc.ncbi.nlm.nih.gov/articles/PMC7362216/
Abstract

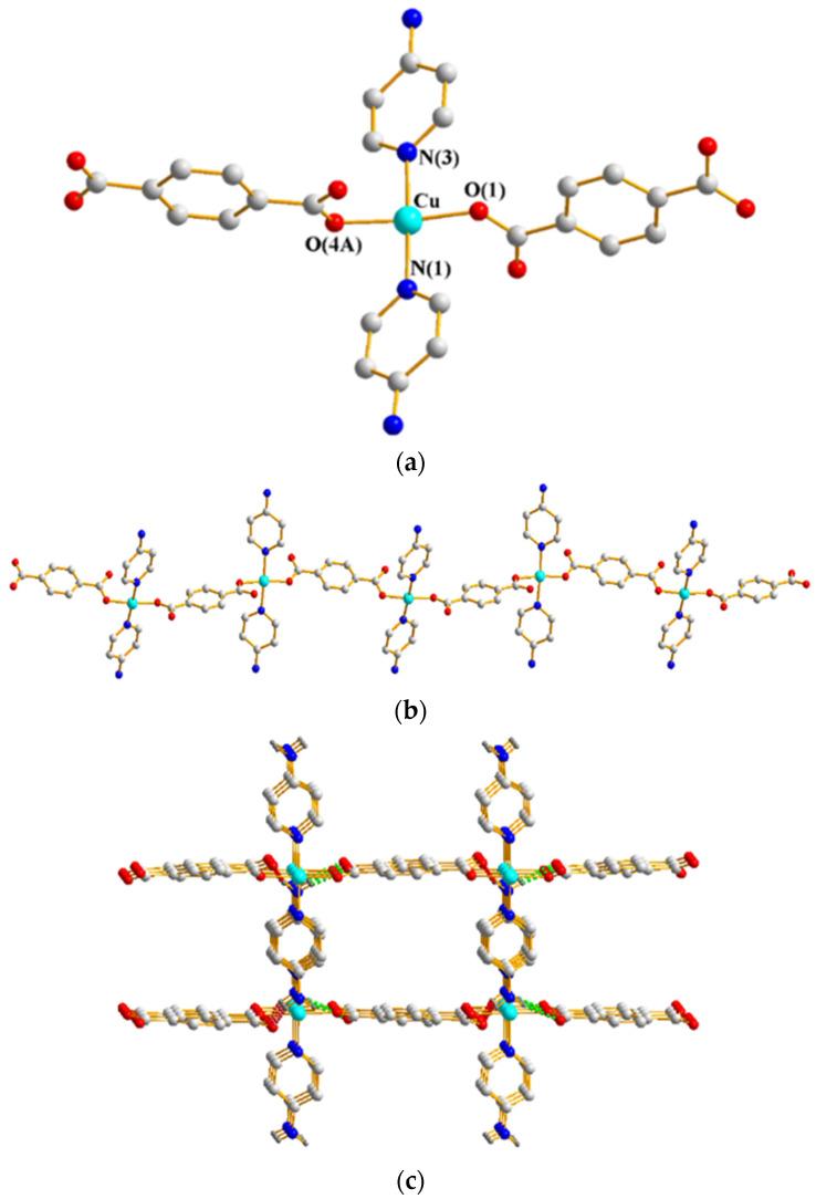
A series of Co(II), Ni(II) and Cu(II) coordination polymers and dinuclear metallocycles containing 4-aminopyridine (4-ampy) and benzenedicarboxylate ligands, {[M(4-ampy)(1,4-BDC)]·HO·CHCHOH} (M = Ni, ; Co, , 1,4-HBDC = benzene-1,4-dicarboxylic acid), {[Ni(4-ampy)(1,3-BDC)]·HO·CHCHOH} (1,3-HBDC = benzene-1,3-dicarboxylic acid), , [M(4-ampy)(1,2-BDC)] (M = Ni, ; Co, , 1,2-HBDC = benzene-1,2-dicarboxylic acid), [Co(4-ampy)(1,3-BDC)] , {[Cu(4-ampy)(1,4-BDC)] CHCHOH}, , and {[Cu(4-ampy)(1,4-BDC)]·HO}, ·HO, are reported, which were hydrothermally prepared and structurally characterized by using single crystal X-ray diffraction. Complexes and are isomorphous 1D zigzag chains, while displays a concave-convex chain and and are dinuclear metallocycles that differ in the boding modes of the 1,2-BDC ligands, forming a 3D and a 2D supramolecular structures with the and topologies, respectively. Complex exhibit a 1D helical chain and complexes and ·HO are 1D linear and zigzag chains, in which the Cu-1,4-BDC units adopt the and configurations, respectively. A novel irreversible structural transformation due to → isomerization of the Cu-1,4-BDC units was observed in ⋅HO and upon water adsorption of the desolvated product of ·HO.

摘要

报道了一系列含有4-氨基吡啶(4-ampy)和苯二甲酸酯配体的Co(II)、Ni(II)和Cu(II)配位聚合物及双核金属环,{[M(4-ampy)(1,4-BDC)]·HO·CHCHOH}(M = Ni, ;Co, ,1,4-HBDC = 苯-1,4-二甲酸),{[Ni(4-ampy)(1,3-BDC)]·HO·CHCHOH}(1,3-HBDC = 苯-1,3-二甲酸), ,[M(4-ampy)(1,2-BDC)](M = Ni, ;Co, ,1,2-HBDC = 苯-1,2-二甲酸),[Co(4-ampy)(1,3-BDC)] ,{[Cu(4-ampy)(1,4-BDC)] CHCHOH}, ,以及{[Cu(4-ampy)(1,4-BDC)]·HO},·HO,这些是通过水热法制备并使用单晶X射线衍射进行结构表征的。配合物 和 是同构的一维锯齿链,而 呈现出凹凸链, 和 是双核金属环,它们在1,2-BDC配体的键合模式上有所不同,分别形成具有 和 拓扑结构的三维和二维超分子结构。配合物 呈现一维螺旋链,配合物 和·HO是一维线性和锯齿链,其中Cu-1,4-BDC单元分别采用 和 构型。在·HO的去溶剂化产物吸水后,在·HO和 中观察到由于Cu-1,4-BDC单元的 →异构化导致的新型不可逆结构转变。

https://cdn.ncbi.nlm.nih.gov/pmc/blobs/ec49/7362216/551cda8a225f/polymers-12-01281-sch002.jpg
https://cdn.ncbi.nlm.nih.gov/pmc/blobs/ec49/7362216/492791dce47d/polymers-12-01281-sch001.jpg
https://cdn.ncbi.nlm.nih.gov/pmc/blobs/ec49/7362216/1c42681f2cf5/polymers-12-01281-g001a.jpg
https://cdn.ncbi.nlm.nih.gov/pmc/blobs/ec49/7362216/8b77892a033f/polymers-12-01281-g002a.jpg
https://cdn.ncbi.nlm.nih.gov/pmc/blobs/ec49/7362216/e5642e482c47/polymers-12-01281-g003.jpg
https://cdn.ncbi.nlm.nih.gov/pmc/blobs/ec49/7362216/c031f9e86dd1/polymers-12-01281-g004.jpg
https://cdn.ncbi.nlm.nih.gov/pmc/blobs/ec49/7362216/bd6e67bec653/polymers-12-01281-g005.jpg
https://cdn.ncbi.nlm.nih.gov/pmc/blobs/ec49/7362216/2297ae8946df/polymers-12-01281-g006.jpg
https://cdn.ncbi.nlm.nih.gov/pmc/blobs/ec49/7362216/924c69144c75/polymers-12-01281-g007.jpg
https://cdn.ncbi.nlm.nih.gov/pmc/blobs/ec49/7362216/551cda8a225f/polymers-12-01281-sch002.jpg
https://cdn.ncbi.nlm.nih.gov/pmc/blobs/ec49/7362216/492791dce47d/polymers-12-01281-sch001.jpg
https://cdn.ncbi.nlm.nih.gov/pmc/blobs/ec49/7362216/1c42681f2cf5/polymers-12-01281-g001a.jpg
https://cdn.ncbi.nlm.nih.gov/pmc/blobs/ec49/7362216/8b77892a033f/polymers-12-01281-g002a.jpg
https://cdn.ncbi.nlm.nih.gov/pmc/blobs/ec49/7362216/e5642e482c47/polymers-12-01281-g003.jpg
https://cdn.ncbi.nlm.nih.gov/pmc/blobs/ec49/7362216/c031f9e86dd1/polymers-12-01281-g004.jpg
https://cdn.ncbi.nlm.nih.gov/pmc/blobs/ec49/7362216/bd6e67bec653/polymers-12-01281-g005.jpg
https://cdn.ncbi.nlm.nih.gov/pmc/blobs/ec49/7362216/2297ae8946df/polymers-12-01281-g006.jpg
https://cdn.ncbi.nlm.nih.gov/pmc/blobs/ec49/7362216/924c69144c75/polymers-12-01281-g007.jpg
https://cdn.ncbi.nlm.nih.gov/pmc/blobs/ec49/7362216/551cda8a225f/polymers-12-01281-sch002.jpg

相似文献

1
Impact of Isomeric Dicarboxylate Ligands on the Formation of One-Dimensional Coordination Polymers and Metallocycles: A Novel cis→trans Isomerization.异构二羧酸配体对一维配位聚合物和金属环形成的影响:一种新型的顺式→反式异构化
Polymers (Basel). 2020 Jun 3;12(6):1281. doi: 10.3390/polym12061281.
2
Cd(ii) coordination polymers constructed from bis(pyridyl) ligands with an asymmetric spacer in chelating mode and diverse organic dicarboxylates: syntheses, structural evolutions and properties.由具有不对称间隔基的双吡啶配体以螯合模式与多种有机二羧酸酯构建的Cd(ii)配位聚合物:合成、结构演变及性质
Dalton Trans. 2019 Jun 14;48(22):7589-7601. doi: 10.1039/c9dt00840c. Epub 2019 May 8.
3
Structural diversity and photocatalytic properties of Cd(II) coordination polymers constructed by a flexible V-shaped bipyridyl benzene ligand and dicarboxylate derivatives.由柔性V形联吡啶苯配体和二羧酸衍生物构建的Cd(II)配位聚合物的结构多样性和光催化性能
Dalton Trans. 2015 Jan 28;44(4):1636-45. doi: 10.1039/c4dt03271c.
4
Two-dimensional Zn(II) and one-dimensional Co(II) coordination polymers based on benzene-1,4-dicarboxylate and pyridine ligands.基于对苯二甲酸酯和吡啶配体的二维锌(II)和一维钴(II)配位聚合物。
Acta Crystallogr C Struct Chem. 2016 Feb;72(Pt 2):133-8. doi: 10.1107/S2053229616000814. Epub 2016 Jan 19.
5
Interplay of coordinative and supramolecular interactions in formation of a series of metal-organic complexes bearing diverse dimensionalities.一系列具有不同维度的金属有机配合物形成过程中配位相互作用和超分子相互作用的相互影响。
Dalton Trans. 2009 Jul 21(27):5365-78. doi: 10.1039/b822083b. Epub 2009 May 27.
6
d(10) Metal complexes assembled from isomeric benzenedicarboxylates and 3-(2-pyridyl)pyrazole showing 1D chain structures: syntheses, structures and luminescent properties.由异构苯二甲酸酯和3-(2-吡啶基)吡唑组装而成的具有一维链状结构的d(10)金属配合物:合成、结构及发光性质
Dalton Trans. 2008 Mar 14(10):1302-11. doi: 10.1039/b716398c. Epub 2008 Jan 21.
7
Syntheses, crystal structures, and magnetic properties of one-dimensional oxalato-bridged Co(II), Ni(II), and Cu(II) complexes with n-aminopyridine (n = 2-4) as terminal ligand.以正氨基吡啶(n = 2 - 4)为端基配体的一维草酸根桥联钴(II)、镍(II)和铜(II)配合物的合成、晶体结构及磁性
Inorg Chem. 2001 Oct 22;40(22):5526-35. doi: 10.1021/ic0103401.
8
The various architectures and properties of a series of coordination polymers tuned by the central metals.一系列配位聚合物的各种结构和性质由中心金属调节。
Dalton Trans. 2014 Jun 7;43(21):8072-82. doi: 10.1039/c4dt00064a. Epub 2014 Apr 10.
9
Influence of the reaction temperature and ph on the coordination modes of the 1,4-benzenedicarboxylate (BDC) ligand: a case study of the Ni(II)(BDC)/2,2'-bipyridine system.反应温度和pH对1,4-苯二甲酸(BDC)配体配位模式的影响:以Ni(II)(BDC)/2,2'-联吡啶体系为例
Inorg Chem. 2005 Nov 14;44(23):8265-71. doi: 10.1021/ic050644d.
10
Nickel(II) Coordination Polymers Supported by Bis-pyridyl-bis-amide and Angular Dicarboxylate Ligands: Role of Ligand Flexibility in Iodine Adsorption.由双吡啶双酰胺和角形二羧酸配体支撑的镍(II)配位聚合物:配体柔韧性在碘吸附中的作用
Int J Mol Sci. 2022 Mar 25;23(7):3603. doi: 10.3390/ijms23073603.

本文引用的文献

1
Mg(II) Coordination Polymers Based on Flexible Isomeric Tetracarboxylate Ligands: Syntheses, Structures, Structural Transformation and Luminescent Properties.基于柔性异构四羧酸配体的镁(II)配位聚合物:合成、结构、结构转变及发光性质
Polymers (Basel). 2018 Mar 26;10(4):371. doi: 10.3390/polym10040371.
2
One-Dimensional Mercury Halide Coordination Polymers Based on A Semi-Rigid -Donor Ligand: Reversible Structural Transformation.基于半刚性供体配体的一维卤化汞配位聚合物:可逆结构转变
Polymers (Basel). 2019 Mar 6;11(3):436. doi: 10.3390/polym11030436.
3
Chiral Cadmium(II) Metal-Organic Framework from an Achiral Ligand by Spontaneous Resolution: An Efficient Heterogeneous Catalyst for the Strecker Reaction of Ketones.
通过自发拆分由非手性配体构建的手性镉(II)金属有机框架:一种用于酮类斯特雷克反应的高效非均相催化剂。
Inorg Chem. 2017 Nov 20;56(22):13629-13633. doi: 10.1021/acs.inorgchem.7b01915. Epub 2017 Nov 3.
4
Gas sensing using porous materials for automotive applications.用于汽车应用的多孔材料气体传感。
Chem Soc Rev. 2015 Jul 7;44(13):4290-321. doi: 10.1039/c5cs00040h. Epub 2015 May 18.
5
Metal-organic frameworks: versatile heterogeneous catalysts for efficient catalytic organic transformations.金属有机骨架:用于高效催化有机转化的多功能多相催化剂。
Chem Soc Rev. 2015 Oct 7;44(19):6804-49. doi: 10.1039/c4cs00395k.
6
Solid-state reactivity and structural transformations involving coordination polymers.涉及配位聚合物的固态反应性和结构转变。
Chem Soc Rev. 2013 Feb 21;42(4):1755-75. doi: 10.1039/c2cs35234f. Epub 2012 Oct 3.
7
A short history of SHELX.SHELX简史。
Acta Crystallogr A. 2008 Jan;64(Pt 1):112-22. doi: 10.1107/S0108767307043930. Epub 2007 Dec 21.
8
Molecular tectonics of mixed-ligand metal-organic frameworks: positional isomeric effect, metal-directed assembly, and structural diversification.混合配体金属有机框架的分子构造:位置异构效应、金属导向组装及结构多样化
Inorg Chem. 2007 May 14;46(10):3984-95. doi: 10.1021/ic062098+. Epub 2007 Apr 14.
9
Ring-opening polymerization of coordination complexes: silver(I) complexes with bis(amidopyridine) ligands derived from thiophene.配位络合物的开环聚合:具有源自噻吩的双(酰胺吡啶)配体的银(I)络合物
Dalton Trans. 2006 Aug 28(32):3886-93. doi: 10.1039/b605340h. Epub 2006 Jun 23.
10
Direction of unusual mixed-ligand metal-organic frameworks: a new type of 3-D polythreading involving 1-D and 2-D structural motifs and a 2-fold interpenetrating porous network.异常混合配体金属有机框架的取向:一种新型的三维多线程结构,涉及一维和二维结构单元以及具有二次互穿的多孔网络。
Chem Commun (Camb). 2005 Nov 28(44):5521-3. doi: 10.1039/b509875k. Epub 2005 Oct 7.