• 文献检索
  • 文档翻译
  • 深度研究
  • 学术资讯
  • Suppr Zotero 插件Zotero 插件
  • 邀请有礼
  • 套餐&价格
  • 历史记录
应用&插件
Suppr Zotero 插件Zotero 插件浏览器插件Mac 客户端Windows 客户端微信小程序
定价
高级版会员购买积分包购买API积分包
服务
文献检索文档翻译深度研究API 文档MCP 服务
关于我们
关于 Suppr公司介绍联系我们用户协议隐私条款
关注我们

Suppr 超能文献

核心技术专利:CN118964589B侵权必究
粤ICP备2023148730 号-1Suppr @ 2026

文献检索

告别复杂PubMed语法,用中文像聊天一样搜索,搜遍4000万医学文献。AI智能推荐,让科研检索更轻松。

立即免费搜索

文件翻译

保留排版,准确专业,支持PDF/Word/PPT等文件格式,支持 12+语言互译。

免费翻译文档

深度研究

AI帮你快速写综述,25分钟生成高质量综述,智能提取关键信息,辅助科研写作。

立即免费体验

潜在的牙科生物膜抑制剂:动态组合化学提供基于糖的分子,靶向细菌葡糖基转移酶。

Potential Dental Biofilm Inhibitors: Dynamic Combinatorial Chemistry Affords Sugar-Based Molecules that Target Bacterial Glucosyltransferase.

机构信息

Department of Drug Design and Optimization Helmholtz Institute for Pharmaceutical Research Saarland (HIPS), Helmholtz Centre for Infection Research (HZI), Campus Building E8.1, 66123, Saarbrücken, Germany.

Department of Pharmacy, Saarland University, Campus Building E8.1, 66123, Saarbrücken, Germany.

出版信息

ChemMedChem. 2021 Jan 8;16(1):113-123. doi: 10.1002/cmdc.202000222. Epub 2020 Jul 9.

DOI:10.1002/cmdc.202000222
PMID:32542998
原文链接:https://pmc.ncbi.nlm.nih.gov/articles/PMC7818428/
Abstract

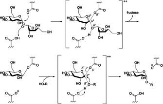
We applied dynamic combinatorial chemistry (DCC) to find novel ligands of the bacterial virulence factor glucosyltransferase (GTF) 180. GTFs are the major producers of extracellular polysaccharides, which are important factors in the initiation and development of cariogenic dental biofilms. Following a structure-based strategy, we designed a series of 36 glucose- and maltose-based acylhydrazones as substrate mimics. Synthesis of the required mono- and disaccharide-based aldehydes set the stage for DCC experiments. Analysis of the dynamic combinatorial libraries (DCLs) by UPLC-MS revealed major amplification of four compounds in the presence of GTF180. Moreover, we found that derivatives of the glucose-acceptor maltose at the C1-hydroxy group act as glucose-donors and are cleaved by GTF180. The synthesized hits display medium to low binding affinity (K values of 0.4-10.0 mm) according to surface plasmon resonance. In addition, they were investigated for inhibitory activity in GTF-activity assays. The early-stage DCC study reveals that careful design of DCLs opens up easy access to a broad class of novel compounds that can be developed further as potential inhibitors.

摘要

我们应用动态组合化学(DCC)来寻找细菌毒力因子葡萄糖基转移酶(GTF)180 的新型配体。GTFs 是细胞外多糖的主要产生者,细胞外多糖是致龋性牙生物膜起始和发展的重要因素。基于结构的策略,我们设计了一系列 36 个基于葡萄糖和麦芽糖的酰腙作为底物模拟物。所需的单糖和二糖醛的合成奠定了 DCC 实验的基础。通过 UPLC-MS 对动态组合文库(DCL)进行分析,发现 GT180 存在时四种化合物的主要放大。此外,我们发现 C1-羟基上的葡萄糖受体麦芽糖的衍生物可作为葡萄糖供体,被 GTF180 切割。根据表面等离子体共振,合成的命中物显示出中等至低的结合亲和力(K 值为 0.4-10.0mm)。此外,还研究了它们在 GTF 活性测定中的抑制活性。早期的 DCC 研究表明,DCL 的精心设计为广泛的新型化合物提供了便捷的途径,这些化合物可以进一步开发为潜在的抑制剂。

https://cdn.ncbi.nlm.nih.gov/pmc/blobs/7e66/7818428/d52108c5a138/CMDC-16-113-g004.jpg
https://cdn.ncbi.nlm.nih.gov/pmc/blobs/7e66/7818428/fb90c72286e5/CMDC-16-113-g001.jpg
https://cdn.ncbi.nlm.nih.gov/pmc/blobs/7e66/7818428/c6b2c209d7b9/CMDC-16-113-g002.jpg
https://cdn.ncbi.nlm.nih.gov/pmc/blobs/7e66/7818428/dd0d4fab2693/CMDC-16-113-g003.jpg
https://cdn.ncbi.nlm.nih.gov/pmc/blobs/7e66/7818428/b36157929b2f/CMDC-16-113-g005.jpg
https://cdn.ncbi.nlm.nih.gov/pmc/blobs/7e66/7818428/7dfa6e527067/CMDC-16-113-g006.jpg
https://cdn.ncbi.nlm.nih.gov/pmc/blobs/7e66/7818428/d52108c5a138/CMDC-16-113-g004.jpg
https://cdn.ncbi.nlm.nih.gov/pmc/blobs/7e66/7818428/fb90c72286e5/CMDC-16-113-g001.jpg
https://cdn.ncbi.nlm.nih.gov/pmc/blobs/7e66/7818428/c6b2c209d7b9/CMDC-16-113-g002.jpg
https://cdn.ncbi.nlm.nih.gov/pmc/blobs/7e66/7818428/dd0d4fab2693/CMDC-16-113-g003.jpg
https://cdn.ncbi.nlm.nih.gov/pmc/blobs/7e66/7818428/b36157929b2f/CMDC-16-113-g005.jpg
https://cdn.ncbi.nlm.nih.gov/pmc/blobs/7e66/7818428/7dfa6e527067/CMDC-16-113-g006.jpg
https://cdn.ncbi.nlm.nih.gov/pmc/blobs/7e66/7818428/d52108c5a138/CMDC-16-113-g004.jpg

相似文献

1
Potential Dental Biofilm Inhibitors: Dynamic Combinatorial Chemistry Affords Sugar-Based Molecules that Target Bacterial Glucosyltransferase.潜在的牙科生物膜抑制剂:动态组合化学提供基于糖的分子,靶向细菌葡糖基转移酶。
ChemMedChem. 2021 Jan 8;16(1):113-123. doi: 10.1002/cmdc.202000222. Epub 2020 Jul 9.
2
Molecule Targeting Glucosyltransferase Inhibits Streptococcus mutans Biofilm Formation and Virulence.靶向葡糖基转移酶的分子抑制变形链球菌生物膜形成及毒力。
Antimicrob Agents Chemother. 2015 Oct 19;60(1):126-35. doi: 10.1128/AAC.00919-15. Print 2016 Jan.
3
Structure-Based Discovery of Small Molecule Inhibitors of Cariogenic Virulence.基于结构的致龋毒力小分子抑制剂的发现。
Sci Rep. 2017 Jul 20;7(1):5974. doi: 10.1038/s41598-017-06168-1.
4
Target-directed Dynamic Combinatorial Chemistry: A Study on Potentials and Pitfalls as Exemplified on a Bacterial Target.靶向动态组合化学:以细菌靶点为例对其潜力与陷阱的研究
Chemistry. 2017 Aug 25;23(48):11570-11577. doi: 10.1002/chem.201701601. Epub 2017 Aug 4.
5
Hydroxychalcone inhibitors of Streptococcus mutans glucosyl transferases and biofilms as potential anticaries agents.变形链球菌葡糖基转移酶和生物膜的羟基查耳酮抑制剂作为潜在的抗龋剂
Bioorg Med Chem Lett. 2016 Aug 1;26(15):3508-13. doi: 10.1016/j.bmcl.2016.06.033. Epub 2016 Jun 14.
6
DNA-Encoded Dynamic Combinatorial Chemical Libraries.DNA 编码的动态组合化学文库。
Angew Chem Int Ed Engl. 2015 Jun 26;54(27):7924-8. doi: 10.1002/anie.201501775. Epub 2015 May 26.
7
Action of agents on glucosyltransferases from Streptococcus mutans in solution and adsorbed to experimental pellicle.试剂对变形链球菌葡糖基转移酶在溶液中和吸附于实验性薄膜上时的作用
Arch Oral Biol. 1999 Mar;44(3):203-14. doi: 10.1016/s0003-9969(98)00129-0.
8
Library screening by means of mass spectrometry (MS) binding assays-exemplarily demonstrated for a pseudostatic library addressing γ-aminobutyric acid (GABA) transporter 1 (GAT1).通过质谱(MS)结合分析进行文库筛选 - 以针对γ-氨基丁酸(GABA)转运体 1(GAT1)的伪静态文库为例进行了说明。
ChemMedChem. 2012 Sep;7(9):1678-90. doi: 10.1002/cmdc.201200201. Epub 2012 Jun 11.
9
Combinatorial approach toward synthesis of small molecule libraries as bacterial transglycosylase inhibitors.组合方法合成小分子文库作为细菌转糖苷酶抑制剂。
Org Biomol Chem. 2010 Jun 7;8(11):2586-93. doi: 10.1039/c000622j. Epub 2010 Mar 29.
10
Identification of inhibitors for vascular endothelial growth factor receptor by using dynamic combinatorial chemistry.利用动态组合化学鉴定血管内皮生长因子受体抑制剂
Bioorg Med Chem Lett. 2016 Apr 1;26(7):1671-4. doi: 10.1016/j.bmcl.2016.02.063. Epub 2016 Feb 22.

引用本文的文献

1
Synthesis and Antimicrobial Activity of Canthin-6-One Alkaloids.夹竹桃科生物碱的合成及其抗菌活性
Molecules. 2025 Mar 31;30(7):1546. doi: 10.3390/molecules30071546.
2
Inhibitory effects of carvacrol on glucansucrase from and salivary α-amylase: in silico and in vitro studies.香芹酚对变形链球菌葡聚糖蔗糖酶和唾液α-淀粉酶的抑制作用:计算机模拟和体外研究
Turk J Biol. 2025 Jan 8;49(1):92-101. doi: 10.55730/1300-0152.2727. eCollection 2025.
3
Unprecedented Diversity of the Glycoside Hydrolase Family 70: A Comprehensive Analysis of Sequence, Structure, and Function.

本文引用的文献

1
Discovery of Small-Molecule Stabilizers of 14-3-3 Protein-Protein Interactions via Dynamic Combinatorial Chemistry.通过动态组合化学发现14-3-3蛋白质-蛋白质相互作用的小分子稳定剂
ACS Med Chem Lett. 2020 Feb 28;11(5):1041-1046. doi: 10.1021/acsmedchemlett.9b00541. eCollection 2020 May 14.
2
Effects of the natural compound, oxyresveratrol, on the growth of Streptococcus mutans, and on biofilm formation, acid production, and virulence gene expression.天然化合物氧化白藜芦醇对变形链球菌生长、生物膜形成、产酸及毒力基因表达的影响。
Eur J Oral Sci. 2020 Feb;128(1):18-26. doi: 10.1111/eos.12667. Epub 2020 Jan 22.
3
糖苷水解酶家族 70 的空前多样性:序列、结构和功能的综合分析。
J Agric Food Chem. 2024 Jul 31;72(30):16911-16929. doi: 10.1021/acs.jafc.4c04807. Epub 2024 Jul 18.
4
In Situ Inhibitor Synthesis and Screening by Fluorescence Polarization: An Efficient Approach for Accelerating Drug Discovery.通过荧光偏振进行原位抑制剂合成与筛选:加速药物发现的有效方法
Angew Chem Weinheim Bergstr Ger. 2022 Nov 7;134(45):e202211510. doi: 10.1002/ange.202211510. Epub 2022 Oct 10.
5
The potential use of glycosyl-transferase inhibitors for targeted reduction of S. mutans biofilms in dental materials.糖基转移酶抑制剂在牙科材料中靶向减少变形链球菌生物膜的潜在用途。
Sci Rep. 2023 Jul 23;13(1):11889. doi: 10.1038/s41598-023-39125-2.
6
In Situ Inhibitor Synthesis and Screening by Fluorescence Polarization: An Efficient Approach for Accelerating Drug Discovery.原位抑制剂合成与荧光偏振筛选:加速药物发现的有效方法。
Angew Chem Int Ed Engl. 2022 Nov 7;61(45):e202211510. doi: 10.1002/anie.202211510. Epub 2022 Oct 11.
7
Molecular mechanisms of inhibiting glucosyltransferases for biofilm formation in Streptococcus mutans.抑制变形链球菌生物膜形成的葡糖基转移酶的分子机制。
Int J Oral Sci. 2021 Sep 30;13(1):30. doi: 10.1038/s41368-021-00137-1.
Discovery of Novel Latency-Associated Nuclear Antigen Inhibitors as Antiviral Agents Against Kaposi's Sarcoma-Associated Herpesvirus.
发现新型潜伏相关核抗原抑制剂作为抗卡波西肉瘤相关疱疹病毒的抗病毒药物。
ACS Chem Biol. 2020 Feb 21;15(2):388-395. doi: 10.1021/acschembio.9b00845. Epub 2020 Jan 24.
4
Protein-Templated Dynamic Combinatorial Chemistry: Brief Overview and Experimental Protocol.蛋白质模板动态组合化学:简要概述与实验方案
European J Org Chem. 2019 Jun 16;2019(22):3581-3590. doi: 10.1002/ejoc.201900327. Epub 2019 May 29.
5
Assessing the impact of curcumin on dual-species biofilms formed by Streptococcus mutans and Candida albicans.评估姜黄素对变形链球菌和白色念珠菌形成的双物种生物膜的影响。
Microbiologyopen. 2019 Dec;8(12):e937. doi: 10.1002/mbo3.937. Epub 2019 Sep 27.
6
Theaflavin-3,3'-Digallate Suppresses Biofilm Formation, Acid Production, and Acid Tolerance in by Targeting Virulence Factors.茶黄素 - 3,3'- 双没食子酸酯通过靶向毒力因子抑制变形链球菌生物膜形成、酸产生及耐酸性
Front Microbiol. 2019 Jul 26;10:1705. doi: 10.3389/fmicb.2019.01705. eCollection 2019.
7
Targeting biofilms: a perspective on preventing dental caries.靶向生物膜:预防龋齿的观点
Medchemcomm. 2019 Mar 19;10(7):1057-1067. doi: 10.1039/c9md00015a. eCollection 2019 Jul 1.
8
Concise Synthesis of Potassium Acyltrifluoroborates from Aldehydes through Copper(I)-Catalyzed Borylation/Oxidation.通过铜(I)催化的硼化/氧化反应,从醛类化合物中简洁合成酰基三氟硼酸钾。
Angew Chem Int Ed Engl. 2019 May 27;58(22):7299-7303. doi: 10.1002/anie.201901748. Epub 2019 Mar 26.
9
Ratiometric fluorescent probe for sensing Streptococcus mutans glucosyltransferase, a key factor in the formation of dental caries.用于检测变形链球菌葡糖基转移酶的比率荧光探针,该酶是龋齿形成的关键因素。
Chem Commun (Camb). 2019 Mar 19;55(24):3548-3551. doi: 10.1039/c9cc00440h.
10
Dynamic Combinatorial Chemistry: A New Methodology Comes of Age.动态组合化学:一种新兴的新方法。
Chemistry. 2019 Jan 2;25(1):60-73. doi: 10.1002/chem.201803365. Epub 2018 Dec 11.