Suppr超能文献

用于低于1V高性能过渡金属二硫属化物晶体管和放大器的锂离子电解质基板。

Lithium-ion electrolytic substrates for sub-1V high-performance transition metal dichalcogenide transistors and amplifiers.

作者信息

Alam Md Hasibul, Xu Zifan, Chowdhury Sayema, Jiang Zhanzhi, Taneja Deepyanti, Banerjee Sanjay K, Lai Keji, Braga Maria Helena, Akinwande Deji

机构信息

Microelectronics Research Center, Department of Electrical and Computer Engineering, The University of Texas, Austin, TX, 78758, USA.

Department of Physics, The University of Texas, Austin, TX, 78712, USA.

出版信息

Nat Commun. 2020 Jun 24;11(1):3203. doi: 10.1038/s41467-020-17006-w.

Abstract

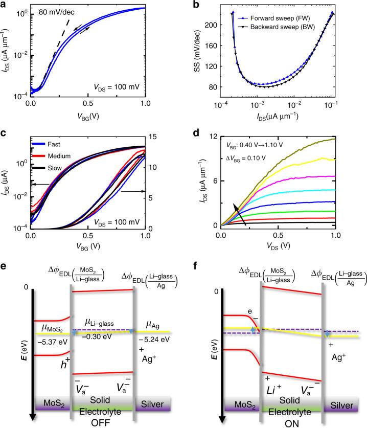
Electrostatic gating of two-dimensional (2D) materials with ionic liquids (ILs), leading to the accumulation of high surface charge carrier densities, has been often exploited in 2D devices. However, the intrinsic liquid nature of ILs, their sensitivity to humidity, and the stress induced in frozen liquids inhibit ILs from constituting an ideal platform for electrostatic gating. Here we report a lithium-ion solid electrolyte substrate, demonstrating its application in high-performance back-gated n-type MoS and p-type WSe transistors with sub-threshold values approaching the ideal limit of 60 mV/dec and complementary inverter amplifier gain of 34, the highest among comparable amplifiers. Remarkably, these outstanding values were obtained under 1 V power supply. Microscopic studies of the transistor channel using microwave impedance microscopy reveal a homogeneous channel formation, indicative of a smooth interface between the TMD and underlying electrolytic substrate. These results establish lithium-ion substrates as a promising alternative to ILs for advanced thin-film devices.

摘要

利用离子液体(ILs)对二维(2D)材料进行静电门控,从而导致高表面电荷载流子密度的积累,这在二维器件中经常被采用。然而,离子液体的固有液体性质、它们对湿度的敏感性以及冷冻液体中产生的应力,阻碍了离子液体构成一个理想的静电门控平台。在此,我们报道了一种锂离子固体电解质衬底,并展示了其在高性能背栅n型MoS和p型WSe晶体管中的应用,其亚阈值值接近60 mV/dec的理想极限,互补反相器放大器增益为34,在同类放大器中是最高的。值得注意的是,这些优异的值是在1V电源下获得的。使用微波阻抗显微镜对晶体管沟道进行的微观研究揭示了均匀的沟道形成,这表明过渡金属二卤化物(TMD)与底层电解质衬底之间存在光滑的界面。这些结果表明,锂离子衬底作为离子液体的一种有前途的替代品,可用于先进的薄膜器件。

https://cdn.ncbi.nlm.nih.gov/pmc/blobs/2496/7314772/562d548ee930/41467_2020_17006_Fig1_HTML.jpg

文献检索

告别复杂PubMed语法,用中文像聊天一样搜索,搜遍4000万医学文献。AI智能推荐,让科研检索更轻松。

立即免费搜索

文件翻译

保留排版,准确专业,支持PDF/Word/PPT等文件格式,支持 12+语言互译。

免费翻译文档

深度研究

AI帮你快速写综述,25分钟生成高质量综述,智能提取关键信息,辅助科研写作。

立即免费体验