Suppr超能文献

一氧化碳和二极管激光照射对牙齿移动相关疼痛的不同治疗效果。

Different Therapeutic Effects of CO and Diode Laser Irradiation on Tooth Movement-Related Pain.

作者信息

Tsuchiya Takako, Hasegawa Naoya, Yugawa Misato, Sasaki Au, Suda Naoto, Adachi Kazunori

机构信息

Division of Orthodontics, Meikai University School of Dentistry, Sakado, Japan.

Division of Pharmacology, Meikai University School of Dentistry, Sakado, Japan.

出版信息

Front Neurol. 2020 Jun 5;11:481. doi: 10.3389/fneur.2020.00481. eCollection 2020.

Abstract

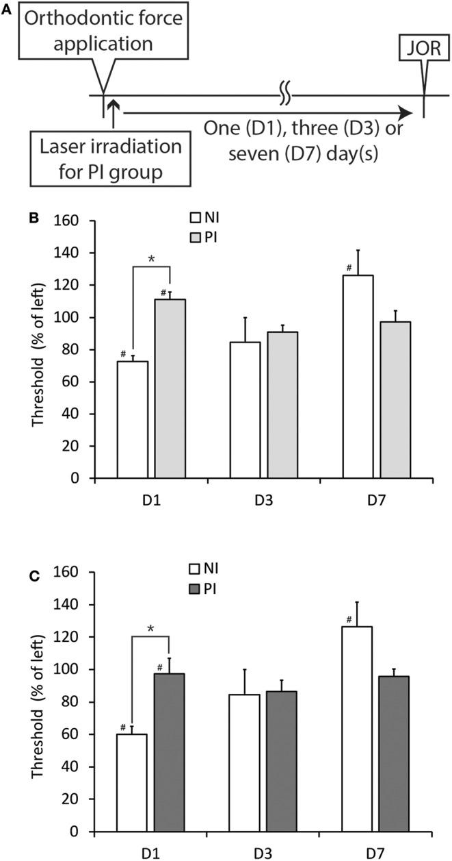
Although orthodontic treatment is common, orthodontic force often induced pain. Low-level laser therapy (LLLT) has been investigated to improve therapeutic comfort. In dentistry, LLLT is mainly applied using two types of lasers, CO and diode lasers, whose biological actions are thought to be associated with wavelength (CO: 10,600 nm; diode: 808 nm). The analgesic effect of LLLT on orthodontic treatment-related pain is widely reported but inconsistent. This study aimed to (1) determine whether irradiation with a CO or diode laser attenuates orthodontic treatment-related pain using the jaw-opening reflex model, (2) elucidate the optimal irradiation protocol for both lasers to obtain the maximal analgesic effect, (3) evaluate the effects of laser irradiation on other biological features [e.g., tooth movement, glial fibrillary acidic protein (GFAP) expression, and temperature alterations] and (4) investigate the mechanism underlying the analgesic effect of laser irradiation. In this animal model, orthodontic treatment-induced pain manifested as a significantly reduced the threshold for inducing the jaw-opening reflex on the orthodontically treated side compared with the contralateral side. GFAP expression in the bilateral trigeminal ganglia (TGs) was significantly increased by the application of orthodontic force. CO laser irradiation of the orthodontically treated region significantly increased the threshold for inducing the jaw-opening reflex and the peripheral temperature. Similar reductions in jaw-opening reflex excitability were induced by surface anesthesia and thermal stimulation but not, the diode laser. Neither CO nor diode laser irradiation altered GFAP expression in the TGs. Infiltration anesthesia also significantly increased the threshold for inducing the jaw-opening reflex on each anesthetized side. Irradiation (30 s) by either laser immediately after orthodontic force application (preirradiation) significantly decreased jaw-opening reflex excitability and GFAP expression in the bilateral TGs the next day. However, thermal stimulation immediately after orthodontic force application failed to alter jaw-opening reflex excitability the next day. Laser irradiation did not alter tooth movement; however, an optimized irradiation protocol for aiding tooth movement is suggested. In conclusion, both CO and diode lasers are able to prevent orthodontic treatment-related pain. Furthermore, the involvement of temperature alterations and surface anesthesia in the analgesic effect induced by CO laser irradiation is suggested.

摘要

尽管正畸治疗很常见,但正畸力常常会引起疼痛。低强度激光疗法(LLLT)已被研究用于提高治疗舒适度。在牙科领域,LLLT主要使用两种类型的激光,即CO激光和二极管激光,其生物学作用被认为与波长有关(CO激光:10600纳米;二极管激光:808纳米)。LLLT对正畸治疗相关疼痛的镇痛效果已有广泛报道,但结果并不一致。本研究旨在:(1)使用张口反射模型确定CO激光或二极管激光照射是否能减轻正畸治疗相关疼痛;(2)阐明两种激光获得最大镇痛效果的最佳照射方案;(3)评估激光照射对其他生物学特征[如牙齿移动、胶质纤维酸性蛋白(GFAP)表达和温度变化]的影响;(4)研究激光照射镇痛作用的潜在机制。在这个动物模型中,正畸治疗引起的疼痛表现为与对侧相比,正畸治疗侧诱发张口反射的阈值显著降低。施加正畸力后,双侧三叉神经节(TGs)中的GFAP表达显著增加。对正畸治疗区域进行CO激光照射可显著提高诱发张口反射的阈值和外周温度。表面麻醉和热刺激也能引起类似的张口反射兴奋性降低,但二极管激光照射则不能。CO激光和二极管激光照射均未改变TGs中GFAP的表达。浸润麻醉也显著提高了各麻醉侧诱发张口反射的阈值。正畸力施加后立即(预照射)用任何一种激光照射30秒,第二天双侧TGs中的张口反射兴奋性和GFAP表达均显著降低。然而,正畸力施加后立即进行热刺激,第二天未能改变张口反射兴奋性。激光照射未改变牙齿移动;不过,建议采用优化的照射方案来辅助牙齿移动。总之,CO激光和二极管激光都能够预防正畸治疗相关疼痛。此外,提示温度变化和表面麻醉参与了CO激光照射诱导的镇痛作用。

https://cdn.ncbi.nlm.nih.gov/pmc/blobs/58ab/7291923/9c4a69afadbd/fneur-11-00481-g0001.jpg

文献检索

告别复杂PubMed语法,用中文像聊天一样搜索,搜遍4000万医学文献。AI智能推荐,让科研检索更轻松。

立即免费搜索

文件翻译

保留排版,准确专业,支持PDF/Word/PPT等文件格式,支持 12+语言互译。

免费翻译文档

深度研究

AI帮你快速写综述,25分钟生成高质量综述,智能提取关键信息,辅助科研写作。

立即免费体验