• 文献检索
  • 文档翻译
  • 深度研究
  • 学术资讯
  • Suppr Zotero 插件Zotero 插件
  • 邀请有礼
  • 套餐&价格
  • 历史记录
应用&插件
Suppr Zotero 插件Zotero 插件浏览器插件Mac 客户端Windows 客户端微信小程序
定价
高级版会员购买积分包购买API积分包
服务
文献检索文档翻译深度研究API 文档MCP 服务
关于我们
关于 Suppr公司介绍联系我们用户协议隐私条款
关注我们

Suppr 超能文献

核心技术专利:CN118964589B侵权必究
粤ICP备2023148730 号-1Suppr @ 2026

文献检索

告别复杂PubMed语法,用中文像聊天一样搜索,搜遍4000万医学文献。AI智能推荐,让科研检索更轻松。

立即免费搜索

文件翻译

保留排版,准确专业,支持PDF/Word/PPT等文件格式,支持 12+语言互译。

免费翻译文档

深度研究

AI帮你快速写综述,25分钟生成高质量综述,智能提取关键信息,辅助科研写作。

立即免费体验

热量限制后部分体重恢复会消除肥胖、胰岛素抵抗大鼠葡萄糖耐量的改善。

Partial Body Mass Recovery After Caloric Restriction Abolishes Improved Glucose Tolerance in Obese, Insulin Resistant Rats.

机构信息

School of Natural Sciences, University of California, Merced, Merced, CA, United States.

Department of Pharmacology, Faculty of Medicine, Kagawa University, Kagawa, Japan.

出版信息

Front Endocrinol (Lausanne). 2020 Jun 10;11:363. doi: 10.3389/fendo.2020.00363. eCollection 2020.

DOI:10.3389/fendo.2020.00363
PMID:32587574
原文链接:https://pmc.ncbi.nlm.nih.gov/articles/PMC7298117/
Abstract

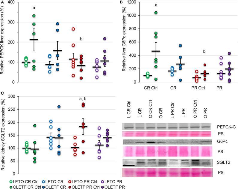
Caloric restriction, among other behavioral interventions, has demonstrated benefits on improving glycemic control in obesity-associated diabetic subjects. However, an acute and severe intervention without proper maintenance could reverse the initial benefits, with additional metabolic derangements. To assess the effects of an acute caloric restriction in a metabolic syndrome model, a cohort of 15-week old Long Evans Tokushima Otsuka (LETO) and Otsuka Long Evans Tokushima Fatty (OLETF) rats were calorie restricted (CR: 50% × 10 days) with or without a 10-day body mass (BM) recovery period, along with their respective controls. An oral glucose tolerance test (oGTT) was performed after CR and BM recovery. Both strains had higher rates of mass gain during recovery vs. controls; however, the regain was partial (ca. 50% of controls) over the measurement period. Retroperitoneal and epididymal adipose masses decreased 30% (8.8 g, < 0.001) in OLETF; however, this loss only accounted for 11.5% of the total BM loss. CR decreased blood glucose AUC 16% in LETO and 19% in OLETF, without significant decreases in insulin. Following CR, hepatic expression of the gluconeogenic enzyme, PEPCK, was reduced 55% in OLETF compared to LETO, and plasma triglycerides (TG) decreased 86%. Acute CR induced improvements in glucose tolerance and TG suggestive of improvements in metabolism; however, partial recovery of BM following CR abolished the improvement in glucose tolerance. The present study highlights the importance of proper maintenance of BM after CR as only partial recovery of the lost BM reversed benefits of the initial mass loss.

摘要

热量限制等行为干预措施已被证明可改善肥胖相关糖尿病患者的血糖控制。然而,没有适当维持的急性和剧烈干预可能会逆转初始益处,并导致额外的代谢紊乱。为了评估急性热量限制对代谢综合征模型的影响,我们对 15 周龄的 Long Evans Tokushima Otsuka (LETO) 和 Otsuka Long Evans Tokushima Fatty (OLETF) 大鼠进行了热量限制(CR:50%×10 天),其中一些大鼠在热量限制后有 10 天的体重(BM)恢复期,同时设置了各自的对照组。在 CR 和 BM 恢复后进行口服葡萄糖耐量试验(oGTT)。与对照组相比,两种品系在恢复期间的体重增加率都更高;然而,在测量期间,体重的恢复是部分的(约为对照组的 50%)。OLETF 大鼠的腹膜后和附睾脂肪质量减少了 30%(8.8g,<0.001);然而,这种损失仅占 BM 总损失的 11.5%。CR 使 LETO 大鼠的血糖 AUC 降低了 16%,使 OLETF 大鼠的血糖 AUC 降低了 19%,而胰岛素没有显著降低。在 CR 后,OLETF 大鼠的肝源性糖异生酶 PEPCK 的表达降低了 55%,而 LETO 大鼠的表达没有变化,同时血浆甘油三酯(TG)降低了 86%。急性 CR 改善了葡萄糖耐量和 TG,提示代谢改善;然而,CR 后 BM 的部分恢复消除了对葡萄糖耐量改善的影响。本研究强调了 CR 后适当维持 BM 的重要性,因为只有部分恢复丢失的 BM 才能逆转初始体重减轻的益处。

https://cdn.ncbi.nlm.nih.gov/pmc/blobs/6d99/7298117/8a699efff610/fendo-11-00363-g0008.jpg
https://cdn.ncbi.nlm.nih.gov/pmc/blobs/6d99/7298117/c3b2c21b7909/fendo-11-00363-g0001.jpg
https://cdn.ncbi.nlm.nih.gov/pmc/blobs/6d99/7298117/05b618ad2059/fendo-11-00363-g0002.jpg
https://cdn.ncbi.nlm.nih.gov/pmc/blobs/6d99/7298117/b48b54494636/fendo-11-00363-g0003.jpg
https://cdn.ncbi.nlm.nih.gov/pmc/blobs/6d99/7298117/de120d4db070/fendo-11-00363-g0004.jpg
https://cdn.ncbi.nlm.nih.gov/pmc/blobs/6d99/7298117/4935cacc388a/fendo-11-00363-g0005.jpg
https://cdn.ncbi.nlm.nih.gov/pmc/blobs/6d99/7298117/54395fee42d1/fendo-11-00363-g0006.jpg
https://cdn.ncbi.nlm.nih.gov/pmc/blobs/6d99/7298117/63471a00f6a5/fendo-11-00363-g0007.jpg
https://cdn.ncbi.nlm.nih.gov/pmc/blobs/6d99/7298117/8a699efff610/fendo-11-00363-g0008.jpg
https://cdn.ncbi.nlm.nih.gov/pmc/blobs/6d99/7298117/c3b2c21b7909/fendo-11-00363-g0001.jpg
https://cdn.ncbi.nlm.nih.gov/pmc/blobs/6d99/7298117/05b618ad2059/fendo-11-00363-g0002.jpg
https://cdn.ncbi.nlm.nih.gov/pmc/blobs/6d99/7298117/b48b54494636/fendo-11-00363-g0003.jpg
https://cdn.ncbi.nlm.nih.gov/pmc/blobs/6d99/7298117/de120d4db070/fendo-11-00363-g0004.jpg
https://cdn.ncbi.nlm.nih.gov/pmc/blobs/6d99/7298117/4935cacc388a/fendo-11-00363-g0005.jpg
https://cdn.ncbi.nlm.nih.gov/pmc/blobs/6d99/7298117/54395fee42d1/fendo-11-00363-g0006.jpg
https://cdn.ncbi.nlm.nih.gov/pmc/blobs/6d99/7298117/63471a00f6a5/fendo-11-00363-g0007.jpg
https://cdn.ncbi.nlm.nih.gov/pmc/blobs/6d99/7298117/8a699efff610/fendo-11-00363-g0008.jpg

相似文献

1
Partial Body Mass Recovery After Caloric Restriction Abolishes Improved Glucose Tolerance in Obese, Insulin Resistant Rats.热量限制后部分体重恢复会消除肥胖、胰岛素抵抗大鼠葡萄糖耐量的改善。
Front Endocrinol (Lausanne). 2020 Jun 10;11:363. doi: 10.3389/fendo.2020.00363. eCollection 2020.
2
Mass recovery following caloric restriction reverses lipolysis and proteolysis, but not gluconeogenesis, in insulin resistant OLETF rats.热量限制后的大量恢复逆转了胰岛素抵抗的 OLETF 大鼠的脂肪分解和蛋白水解,但没有逆转糖异生。
PLoS One. 2021 Nov 2;16(11):e0252360. doi: 10.1371/journal.pone.0252360. eCollection 2021.
3
Calorie restriction improves whole-body glucose disposal and insulin resistance in association with the increased adipocyte-specific GLUT4 expression in Otsuka Long-Evans Tokushima fatty rats.热量限制可改善整体葡萄糖代谢及胰岛素抵抗,这与大冢长- Evans 德岛肥胖大鼠脂肪细胞特异性葡萄糖转运蛋白4(GLUT4)表达增加有关。
Arch Biochem Biophys. 2005 Apr 15;436(2):276-84. doi: 10.1016/j.abb.2005.01.010.
4
Daily exercise vs. caloric restriction for prevention of nonalcoholic fatty liver disease in the OLETF rat model.每日运动与热量限制预防 OLETF 大鼠模型非酒精性脂肪肝的比较。
Am J Physiol Gastrointest Liver Physiol. 2011 May;300(5):G874-83. doi: 10.1152/ajpgi.00510.2010. Epub 2011 Feb 24.
5
Simultaneous SGLT2 inhibition and caloric restriction improves insulin resistance and kidney function in OLETF rats.同时抑制SGLT2和限制热量摄入可改善OLETF大鼠的胰岛素抵抗和肾功能。
Mol Cell Endocrinol. 2023 Jan 15;560:111811. doi: 10.1016/j.mce.2022.111811. Epub 2022 Oct 29.
6
Pathogenesis of obesity by food restriction in OLETF rats-increased intestinal monoacylglycerol acyltransferase activities may be a crucial factor.食物限制导致OLETF大鼠肥胖的发病机制——肠道单酰甘油酰基转移酶活性增加可能是一个关键因素。
Diabetes Res Clin Pract. 2002 Aug;57(2):75-82. doi: 10.1016/s0168-8227(02)00026-8.
7
Bezafibrate on lipids and glucose metabolism in obese diabetic Otsuka Long-Evans Tokushima fatty rats.苯扎贝特对肥胖糖尿病大冢长- Evans 德岛脂肪大鼠脂质和葡萄糖代谢的影响
Metabolism. 2004 Apr;53(4):405-13. doi: 10.1016/j.metabol.2003.10.006.
8
Combining metformin therapy with caloric restriction for the management of type 2 diabetes and nonalcoholic fatty liver disease in obese rats.将二甲双胍治疗与热量限制相结合用于肥胖大鼠2型糖尿病和非酒精性脂肪性肝病的管理。
Appl Physiol Nutr Metab. 2015 Oct;40(10):1038-47. doi: 10.1139/apnm-2015-0236. Epub 2015 Jun 24.
9
Modulating fibroblast growth factor 21 in hyperphagic OLETF rats with daily exercise and caloric restriction.通过日常运动和热量限制调节多食性 OLETF 大鼠中的成纤维细胞生长因子 21。
Appl Physiol Nutr Metab. 2012 Dec;37(6):1054-62. doi: 10.1139/h2012-091. Epub 2012 Aug 15.
10
Increased hepatic glucose production and decreased hepatic glucose uptake at the prediabetic phase in the Otsuka Long-Evans Tokushima fatty rat model.在大冢长-艾氏-德岛肥胖大鼠模型的糖尿病前期阶段,肝脏葡萄糖生成增加,肝脏葡萄糖摄取减少。
Metabolism. 1998 Aug;47(8):908-14. doi: 10.1016/s0026-0495(98)90343-2.

引用本文的文献

1
Exercise duration and detraining influence not only body weight but also histopathological changes in the white adipose tissue of young male OLETF rats as an obesity model.运动持续时间和停训不仅会影响体重,还会影响作为肥胖模型的年轻雄性OLETF大鼠白色脂肪组织的组织病理学变化。
Physiol Rep. 2025 Jul;13(14):e70487. doi: 10.14814/phy2.70487.
2
Pseudocannabinoid H4CBD improves glucose response during advanced metabolic syndrome in OLETF rats independent of increase in insulin signaling proteins.伪大麻素 H4CBD 可改善 OLETF 大鼠晚期代谢综合征期间的葡萄糖反应,而不增加胰岛素信号蛋白。
Am J Physiol Regul Integr Comp Physiol. 2024 Feb 1;326(2):R100-R109. doi: 10.1152/ajpregu.00125.2022. Epub 2023 Oct 30.
3

本文引用的文献

1
Effects of Single Cage Housing on Stress, Cognitive, and Seizure Parameters in the Rat and Mouse Pilocarpine Models of Epilepsy.单笼饲养对匹鲁卡品诱导的大鼠和小鼠癫痫模型中应激、认知和癫痫发作参数的影响。
eNeuro. 2019 Aug 1;6(4). doi: 10.1523/ENEURO.0179-18.2019. Print 2019 Jul/Aug.
2
Nrf2-related gene expression is impaired during a glucose challenge in type II diabetic rat hearts.Nrf2 相关基因表达在 2 型糖尿病大鼠心脏的葡萄糖挑战中受损。
Free Radic Biol Med. 2019 Jan;130:306-317. doi: 10.1016/j.freeradbiomed.2018.10.405. Epub 2018 Oct 11.
3
State-level diabetes-attributable mortality and years of life lost in the United States.
Mass recovery following caloric restriction reverses lipolysis and proteolysis, but not gluconeogenesis, in insulin resistant OLETF rats.
热量限制后的大量恢复逆转了胰岛素抵抗的 OLETF 大鼠的脂肪分解和蛋白水解,但没有逆转糖异生。
PLoS One. 2021 Nov 2;16(11):e0252360. doi: 10.1371/journal.pone.0252360. eCollection 2021.
美国各州糖尿病相关死亡率和生命损失年数。
Ann Epidemiol. 2018 Nov;28(11):790-795. doi: 10.1016/j.annepidem.2018.08.015. Epub 2018 Sep 7.
4
Simultaneous GLP-1 receptor activation and angiotensin receptor blockade increase natriuresis independent of altered arterial pressure in obese OLETF rats.同时激活 GLP-1 受体和阻断血管紧张素受体可增加肥胖 OLETF 大鼠的尿钠排泄,而不改变动脉血压。
Hypertens Res. 2018 Oct;41(10):798-808. doi: 10.1038/s41440-018-0070-0. Epub 2018 Jul 9.
5
Chronic AT1 blockade improves glucose homeostasis in obese OLETF rats.慢性 AT1 阻断可改善肥胖 OLETF 大鼠的葡萄糖稳态。
J Endocrinol. 2018 Jun;237(3):271-284. doi: 10.1530/JOE-17-0678. Epub 2018 Apr 11.
6
Caloric Restriction and Its Effect on Blood Pressure, Heart Rate Variability and Arterial Stiffness and Dilatation: A Review of the Evidence.热量限制及其对血压、心率变异性和动脉僵硬度及扩张性的影响:证据综述。
Int J Mol Sci. 2018 Mar 7;19(3):751. doi: 10.3390/ijms19030751.
7
Exogenous thyroxine improves glucose intolerance in insulin-resistant rats.外源性甲状腺素可改善胰岛素抵抗大鼠的葡萄糖耐量。
J Endocrinol. 2017 Mar;232(3):501-511. doi: 10.1530/JOE-16-0428. Epub 2016 Dec 15.
8
A return to ad libitum feeding following caloric restriction promotes hepatic steatosis in hyperphagic OLETF rats.热量限制后恢复自由采食会促进食欲亢进的OLETF大鼠发生肝脂肪变性。
Am J Physiol Gastrointest Liver Physiol. 2016 Sep 1;311(3):G387-95. doi: 10.1152/ajpgi.00089.2016. Epub 2016 Jul 21.
9
Persistent metabolic adaptation 6 years after "The Biggest Loser" competition.“超级减肥王”比赛6年后的持续代谢适应
Obesity (Silver Spring). 2016 Aug;24(8):1612-9. doi: 10.1002/oby.21538. Epub 2016 May 2.
10
The role of leptin/adiponectin ratio in metabolic syndrome and diabetes.瘦素/脂联素比值在代谢综合征和糖尿病中的作用。
Horm Mol Biol Clin Investig. 2014 Apr;18(1):37-45. doi: 10.1515/hmbci-2013-0053.