Suppr超能文献

CML 修饰的以及热糖基化的β-乳球蛋白与 AGEs 受体的结合取决于电荷和疏水性。

Binding of CML-Modified as Well as Heat-Glycated β-lactoglobulin to Receptors for AGEs Is Determined by Charge and Hydrophobicity.

机构信息

Food Quality & Design Group, Wageningen University & Research Centre, 6708 WG Wageningen, The Netherlands.

Cell Biology & Immunology, Wageningen University & Research Centre, 6700 AH Wageningen, The Netherlands.

出版信息

Int J Mol Sci. 2020 Jun 26;21(12):4567. doi: 10.3390/ijms21124567.

Abstract

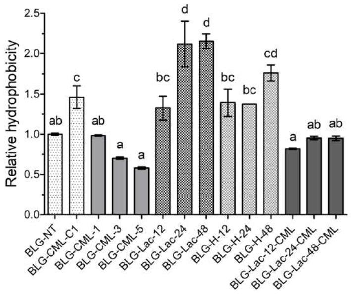
Intake of dietary advanced glycation end products (AGEs) is associated with inflammation-related health problems. Nε-carboxymethyl lysine (CML) is one of the best characterised AGEs in processed food. AGEs have been described as ligands for receptors present on antigen presenting cells. However, changes in protein secondary and tertiary structure also induce binding to AGE receptors. We aimed to discriminate the role of different protein modifications in binding to AGE receptors. Therefore, β-lactoglobulin was chemically modified with glyoxylic acid to produce CML and compared to β-lactoglobulin glycated with lactose. Secondary structure was monitored with circular dichroism, while hydrophobicity and formation of β-sheet structures was measured with ANS-assay and ThT-assay, respectively. Aggregation was monitored using native-PAGE. Binding to sRAGE, CD36, and galectin-3 was measured using inhibition ELISA. Even though no changes in secondary structure were observed in all tested samples, binding to AGE receptors increased with CML concentration of CML-modified β-lactoglobulin. The negative charge of CML was a crucial determinant for the binding of protein bound CML, while binding of glycated BLG was determined by increasing hydrophobicity. This shows that sRAGE, galectin-3, and CD36 bind to protein bound CML and points out the role of negatively charged AGEs in binding to AGE receptors.

摘要

膳食晚期糖基化终产物(AGEs)的摄入与炎症相关的健康问题有关。Nε-羧甲基赖氨酸(CML)是加工食品中最具特征的 AGE 之一。AGEs 已被描述为抗原呈递细胞上存在的受体的配体。然而,蛋白质二级和三级结构的变化也会诱导与 AGE 受体的结合。我们旨在区分不同蛋白质修饰在与 AGE 受体结合中的作用。因此,用乙醛酸对β-乳球蛋白进行化学修饰以产生 CML,并将其与用乳糖糖化的β-乳球蛋白进行比较。使用圆二色性监测二级结构,而使用 ANS 测定法和 ThT 测定法分别测量疏水性和β-折叠结构的形成。使用天然 PAGE 监测聚集。使用抑制 ELISA 测量与 sRAGE、CD36 和半乳糖凝集素-3 的结合。尽管在所有测试的样品中都没有观察到二级结构的变化,但与 AGE 受体的结合随着 CML 修饰的β-乳球蛋白中 CML 浓度的增加而增加。CML 的负电荷是蛋白质结合的 CML 结合的关键决定因素,而糖基化 BLG 的结合则由疏水性增加决定。这表明 sRAGE、半乳糖凝集素-3 和 CD36 与蛋白质结合的 CML 结合,并指出带负电荷的 AGEs 在与 AGE 受体结合中的作用。

https://cdn.ncbi.nlm.nih.gov/pmc/blobs/d090/7348724/ec5af46aaa4f/ijms-21-04567-g001.jpg

文献检索

告别复杂PubMed语法,用中文像聊天一样搜索,搜遍4000万医学文献。AI智能推荐,让科研检索更轻松。

立即免费搜索

文件翻译

保留排版,准确专业,支持PDF/Word/PPT等文件格式,支持 12+语言互译。

免费翻译文档

深度研究

AI帮你快速写综述,25分钟生成高质量综述,智能提取关键信息,辅助科研写作。

立即免费体验